Avertissement
Si vous arrivez directement sur cette page, sachez que ce travail est un rapport d'étudiants et doit être pris comme tel. Il peut donc comporter des imperfections ou des imprécisions que le lecteur doit admettre et donc supporter. Il a été réalisé pendant la période de formation et constitue avant-tout un travail de compilation bibliographique, d'initiation et d'analyse sur des thématiques associées aux concepts, méthodes, outils et expériences sur les démarches qualité dans les organisations. Nous ne faisons aucun usage commercial et la duplication est libre. Si, malgré nos précautions, vous avez des raisons de contester ce droit d'usage, merci de nous en faire part, nous nous efforcerons d'y apporter une réponse rapide. L'objectif de la présentation sur le Web est de permettre l'accès à l'information et d'augmenter ainsi les échanges professionnels. En cas d'usage du document, n'oubliez pas de le citer comme source bibliographique. Bonne lecture...
Préparation de l’obtention du certificat REACH-RoHs
Chunmei
Chunmei LIU
Référence bibliographique à rappeler pour tout usage :
Préparation de l’obtention du certificat REACH-RoHs, LIU Chunmei, Université de Technologie de Compiègne, Master Qualité et Performance dans les Organisations (QPO)
Mémoire d'Intelligence Méthodologique du stage professionnel de fin d'études, juin 2013, www.utc.fr/master-qualite, puis "Travaux", "Qualité-Management", réf n° 256
RESUME

REACH est un règlement de l’Union Européenne sur l’enregistrement, l’évaluation et l’autorisation des substances chimiques, ainsi que les restrictions applicables à ces substances.  RoHs sert à limiter l’utilisation de certaines substances dangereuses dans les équipements électriques et électroniques. Griset est une entreprise qui fabrique et vend des rouleaux en cuivre, en laiton, en bronze : produits laminés plats et produits double épaisseur (produits électroniques en cuivre uniquement). Pour préparer l’obtention du certificat REACH-RoHs chez Griset, identification des processus de traitements des substances chimiques et calcul de leurs concentrations sur les produits finis sont les tâches principales. Un point important sorti de la mise en place de REACH-RoHs est : pas de donnés, pas de marché.

Mots clés : REACH ; RoHs ; Griset; Substances ; Produits; Concentrations ; Données

ABSTRACT

REACH is the European regulation on the registration, evaluation and authorization of chemical substances and restrictions applicable to these substances. RoHs relates to the restriction of the use of certain hazardous substances in electrical and electronic equipment. Griset is a company that manufactures and supplies rollers in copper, brasses, bronzes: flat-rolled and double-thickness products (electronic products only in copper). In order to preparer obtaining certificate of REACH-RoHs at Griset, identify the treatment process of chemicals and calcule their concentrations on finished products are major endeavors. One important view by the experience of preparering REACH-RoHs, is that: no Records, no market.

Key words :  REACH, RoHS, Griset; Substances; Products; Concentrations; Records

Master Qualité - UTC - Communication publique des résultats d'un stage de fin d'études
Téléchargez le Poster sous format PDF
image77
Téléchargez le Rapport sous format PDF 
 image78

Remerciements


Tout d’abord je tiens à remercier M. Jean Pierre VALADE, le directeur général et M. Jean-Guy SPILMONT, le directeur qualité pour m’avoir permis de faire ce stage au sein du Service Qualité.

Je remercie particulièrement M. Roger MALSERVET et M. Jean-Guy SPILMONT encore pour tout le temps qu’ils m’ont accordé, pour leur suivi, leur encadrement  et tous leurs conseils très utiles tout au long du stage.

Merci également à M. Jean GUILLIER M. Vincent AMORY et M. Sébastien MOINEAU pour toutes leurs explications et les travaux qu’ils m’ont confié et qui m’ont permis de mieux comprendre le fonctionnement du service qualité.

Je remercie M. Thierry ATMANI; M. Stéphane CHARRONDIERE ; M. Bruno COLLERY; M. Paul CONTANTY; M. Patrick DARTEVELLE ; Mme. Carole DORY ; M. Eric ERTZBICHOF; M. Yvon FRERET ; M. Stéphane MARTIN; M. Michel MASSINI ; M. Serge MOLUH; M. Julien NICOLAS; Mm. Monique NILOR; M. Bertrand PIERRE ; M. Fabrice RIPOCHE; M. Eddy SEMINGER; M. Philippe FALKENAU pour leur disponibilité et toutes les réponses qu’ils m’ont apportées.

Merci à tout le personnel chez Griset pour l’ambiance chaleureuse et sérieuse qui y règne.

Finalement, je remercie M. Jean Pierre CALISTE,  mon tuteur à l’UTC, et M. Gilbert Farges mon responsable de master,  qui me suivent, guident et donnent les conseilles utilisables. Je remercie également  M. Yann Moulier-Boutang,  mon future directeur de la thèse, qui me courage de faire ce stage. Je remercie mes familles et mes amis pour leurs soutiens aussi.

Sommaire
2.1.2  Liste des machines avec leurs fonctions  

2.2  Résultats de la base des donnés. 30

2.2.1 Processus de fabrication intégré les produit chimiques. 30

2.2.2  Gamme de fabrication et liste de produit chimique. 34

2.3  Méthodes à calculer les concentrations des substances. 40

2.3.1  Pour les produits laminés plats (LP). 40

2.3.2  Pour les produits doubles épaisseurs (DE). 49

2.4 Résultats de calcul 53

2.4.1 Concentration Type de substance par machine. 53

2.4.2 Concentration de substance sur le produit fini 55

CHAPITRE 3- Conclusion et perspective. 70

3.1 Documents livrés au LISAM... 70

3.2  Outil de suivi 72

3.2.1 Objection de l’outil 72

3.2.2 Présentation de l’outil 72

3.2.3 Le menu. 72

3.2.4 Les contenus – trois tableaux essentiels. 73

3.2.5  Les liens entre les trois tableaux de résultat. 75

3.2.6 Possibilités de changements 75

3.2.7 Consulter les résultats par No° Article Vendu. 79

3.3 Perspectives

retour sommaire

Glossaire

Labels

Explications

DE

Double Epaisseur.

DEEE

Déchets d’Equipements Electriques et Electroniques.

ECHA

European CHemicals Agency.

EINECS

European Inventory of Existing commercial Chemical Substances.

Intermédiaire

Substance fabriquée en vue d’une transformation chimique et consommée ou utilisée dans le cadre de cette transformation.

QALITEL

Logiciel de gestion documentaire chez Griset

REACH

Registration, Evaluation and Autorisation of CHemicals - L’enregistrement, l’évaluation et l’autorisation des substances chimiques, ainsi que les restrictions applicables à ces substances.

RoHs

Restriction of Hazardous Substances Directive CE-relative à la limitation de l’utilisation de  certaines substances dangereuses dans les équipements électriques et électroniques.

RoHs - une matière homogène

Une matière homogène est une substance simple comme une matière plastique, par exemple l’isolant PVC sur un fil de cuivre isolé. Si les composants comme les condensateurs, les transistors ou les boîtiers de semi-conducteurs ne sont pas des "matières" à proprement parler, ils sont néanmoins constitués de plusieurs matériaux différents

SAP

Systems, Applications and Products for data processing, un progiciel de gestion intégrée chez Griset qui a presque tout les informations de Griset.

Substance

Tout élément chimique et ses composés, à l’état naturel ou fabriqué, y compris les additifs nécessaires à leur stabilité et les impuretés qui résultent du processus, à l’exception des solvants qui peuvent être séparés de la substance sans affecter sa stabilité ou sa composition.

SVHC

Substance of Very High Concern = Substance extrêmement préoccupante

WinDev

Portail des applications.

retour sommaire


CHAPITRE 1  Contexte réglementaire et de l’entreprise

1.1  Introduction aux exigences sur REACH-RoHs

1.1.1  Le règlement REACH

REACH est un règlement de l'Union européenne adopté pour mieux protéger la santé humaine et l'environnement contre les risques liés aux substances chimiques, tout en favorisant la compétitivité de l'industrie chimique de l'UE. Il encourage également des méthodes alternatives pour l'évaluation des dangers liés aux substances afin de réduire le nombre d'essais sur animaux[1]. Il concerne l’enregistrement, l’évaluation et l’autorisation des substances chimique, ainsi que les restrictions applicables à ces substances[2].

1.1.1.1  Évaluation des outils législatifs sur REACH 

Depuis près de quarante ans, l'Europe s'est dotée progressivement de plusieurs outils législatifs (directives et règlements) permettant de contrôler la mise en place sur le marché de l'utilisation des substances chimiques dangereuses. En-dessous, c’est l’évaluation des outils législatifs sur REACH [3] :

REQCH


Figure 1  L’évaluation des outils législatifs sur REACH

retour sommaire


1.1.2  La  directive RoHS

La Directive Européenne 2011/65/UE dite : RoHS (Restriction d'utilisation de substances dangereuses pour l'environnement) transposée en droit français concerne l'utilisation de certaines substances dangereuses constituant une menace pour la santé humaine et l'environnement dans une série de produits électriques et électroniques commercialisés dans l'Union Européenne. Cette directive complète la directive relative aux déchets d'équipements électriques et électroniques (WEEE ou DEEE), entrée en vigueur en 2005, qui fixe pour chaque État membre des objectifs en matière de collecte des déchets électriques et électroniques, ainsi que de recyclage et de récupération d'énergie[4].

Les six substances dangereuses interdites dans RoHssont certains métaux lourds (le plomb, le cadmium, le mercure et le chrome hexavalent) et deux groupes de retardateurs de flamme bromés (les polybromobiphényles -PBB et les polybromodiphényléthers -PBDE). 

L'interdiction nous permettra non seulement d'éliminer le risque inhérent à ces substances, mais également d'accroître considérablement la quantité d'équipements usagés qui seront recyclés, en rendant le recyclage plus sûr et moins coûteux, a indiqué M. Stavros Dimas, membre de la Commission responsable de l'environnement[5].

En effet, toutes ces substances peuvent porter préjudice à la santé humaine et à l'environnement. Ainsi, le plomb et le mercure peuvent avoir des effets nocifs sur le cerveau et le système nerveux et sont particulièrement dangereux pour les femmes enceintes et les jeunes enfants. En outre, ils s'accumulent dans les organismes vivants et l'environnement. Les retardateurs de flamme bromés peuvent quant à eux perturber la reproduction chez l'homme, être transformés dans l'organisme en composés hautement toxiques, et causer des tumeurs. Ils sont toxiques pour le milieu aquatique, où ils peuvent également s'accumuler et persister, au lieu de se décomposer en plusieurs sous-produits inoffensifs.

Décision de la commission du 18 août 2005(2005/618/CE):Les valeurs maximum de concentration admises pour les substances dangereuses de la RoHs sont : 0.1% pour le plomb, le mercure,  le chrome,  le PBB le PBDE ; 0 ,01% pour le cadmium, tout sont en poids dans le matériau homogène[6].

1.1.3  Les liens entres les deux

Tout les réglementaires s’applique pour l’environnement sur les Produits Chimique. Ils  convient de réaliser une consultation des acteurs concernés et de porter une attention particulière aux incidences potentielles sur les PME [7].

RoHs est sorti après REACH et il s’appuie sur le REACH. Pour RoHs les travaux réalisés conformément au règlement (CE) n° 1907/2006-REACH tout en veillant à ce que la présente directive et ledit règlement s’appliquent indépendamment l’un de l’autre. RoHs est particulier, il s’applique uniquement au domaine électrique ou électronique. REACH peut être utilisé dans tous les domaines principalement ceux utilisant des produits chimiques.

retour sommaire


1.2  Présentation de Griset

Griset est une entreprise qui produit des bandes de cuivre, bronze (cuivre+étain), laiton (cuivre+zinc), des bandes d’alliage cuivre-nickel et d’aluminium (voir processus de fabrication), livrées sous formes de rouleaux. Il propose des solutions innovantes en laminés de cuivres et alliages, au ses clients pour les réussites de tout le monde.  Les produits chez Griset ont deux types principaux : Produits Laminés Plats et Produits double Epaisseur ; les deuxièmes sont les produits électroniques qui allez être utilisé dans les domaines électriques ou électroniques.

Griset est certifié ISO 9001 depuis 20 ans et a déployé au travers de son QMS (Quality Management System) les outils modernes de la qualité indispensables à l’établissement d’une relation de confiance avec ses clients. Fort de ses succès commerciaux en France, Europe et Asie, Griset (200 personnes) est l’un des acteurs leader du marchés des bandes profilées et plates en cuivre pour l’industrie électronique des composants de puissance.

Les documents :

sont mis dans les Annexes 1~5.

retour sommaire


1.3  Situation actuelle chez Griset sur REACH-RoHs

1.3.1  REACH-RoHs

Chez Griset, dès que la nouvelle réglementation européenne REACH a été adoptée en décembre 2006, et la directive RoHs est entrée en vigueur, elle démarre de la mise en conformité des exigences REACH et RoHs. Dans le monde industriel, si vous voulez, en 2008, dans « Le Nouvelle Industriel », un article : REACH est le casse-tête au tout début, à six mois de l’échéance des premiers enregistrements de substances, les industriels sont partagés entre inquiétudes et incompréhensions [8], il explique la difficulté de la première étape à conformer aux exigences de REACH. Heureusement, chez Griset, certains produits fabriqués par Griset sont déjà certifiés par rapport à REACH-RoHs dès l’année 2008. Pour RoHs, Il existe des enregistrements des six substances dangereuses par le biais des FDS.

Un projet a lancé en 2008 par l’ancien responsable de la sécurité et l’environnement avec le Service Qualité pour obtenir le certificat existe. Actuellement Il existe deux documents principaux en version papier:

Les tâches actuelles sont d’étendre le certificat à tous les produits fabriqués par Griset.

1.3.2  Moyen existant pour obtenir le certificat

Pour l’obtention du certificat, Griset a choisi LISAM  comme partenaire, spécialisé en veille réglementaire REACH et RoHS. C’est une société  composée essentiellement d’ingénieurs chimistes.Griset a la responsabilité de fournir les documents utiles à la description et compréhension du process .

retour sommaire


1.4  Projet-préparer à l’obtention du certificat REACH-RoHs

1.4.1  Avantages de la mise en conformité à REACH-RoHs

Développement Durable : Malgré la situation chez GRISET, la mise en conformité aux règlementations de REACH et RoHs est écologique, par rapport au développement durable au niveau mondial, pour la santé des générations futures. Donc, le premier avantage de respecter REACH-RoHs est la sauvegarde de notre environnement sur la terre, c’est une stratégie de long terme pour une usine qui a déjà une longue histoire comme Griset.

Marché Commerciale : dès que REACH-RoHs est mis en vigueur, de plus en plus d’entreprises, organisations et individuels sont au courant des contenus et voudraient les respecter. Le certificat de REACH-RoHs va bientôt devenir un certificat important et nécessaire pour démontrer la qualité des produits et la performance de l’entreprise en utilisant les produits chimiques. La raison pour laquelle Griset lance le projet d’étendre le certificat REACH-RoHs à tous les produits fabriqués par Griset est que ceux-ci sont livrés en Asie et certains clients asiatiques sont demandeurs du certificat REACH-RoHs. Donc au niveau de commercial, un certificat REACH-RoHs est un avantage qui peut faire gagner des parts de marché.

Gestion du personnel interne : Jusqu’à maintenant, pour une société, les clients n’étaient pas que des personnes qui achètent les produits, à présent les salariés aussi doivent être traités comme les clients, avec soin. Motiver les salariés et les traiter avec attention va surement augmenter l’efficacité de l’entreprise. [11] Chez griset, les produits utilisés ou les substances sont parfois dangereux. Lancer le projet REACH-RoHs apporte beaucoup d’attention sur les quantités utilisées des produits chimiques machine par machine. il peut montrer aux opérateurs que Griset est en train de faire des efforts pour protéger leur santé et les respecter. C'est-à-dire que le projet de Certificat peut aider à la gestion des personnes.

Commencer avec les demandes de clients asiatiques,  ensuite réfléchir aux avantages,  Griset a finalement choisi le certificat REACH-RoHs comme stratégie de développement. Le projet REACH-RoHs  est maintenant intégré dans le service qualité qui représente le développement durable dans l’organisation interne de Griset.

retour sommaire

1.4.2  Présentation du projet

Nom du projet : Préparation de l’obtention du certificat REACH-RoHs

Les objectifs du projet :

OBJ

Plan d’action:

    1. Comprendre les situations actuelles chez Griset
    2. Créer une base de données sur Excel  à recenser tous les chemins de fabrication possible (analyse des processus et circuits), et identifier toutes les matières chimiques utilisées à chaque étape de réalisation
    3. Calculer et estimer les substances sur tous les produits avec l’aide de FDS afin de sortir leur consommation propre et la conformité des FDS disponibles et les quantités résiduelles potentiellement présentes sur les produits avant livraison
    4. Établir une synthèse  officielle nécessaire pour LISAM
    5. Proposer un outil pratique pour suivre les changements

Pour cadrer le sujet et bien comprendre, un schéma général du projet et la planification dynamique stratégique (PDS) a dessiné ci-dessous :

image 2

Figure 2    Schéma général du projet-LIU Chunmei


  003


Figure 3   Planification Dynamique Stratégique du projet-LIU Chunmei


Planning simplifiée :

004


006 

 Figure 4   Planning du projet-LIU Chunmei

Un planning plus détaillé a été créé avec EXCEL, il a été mis en Annexe 7 .

retour sommaire


1.4.3  Problématique du projet

Un projet d’entreprise est toujours plus difficile comparé aux projets scolaires, la situation est plus concrète et en même temps plus compliquée.

  1. Plus de liaisons avec différentes personnes et participants : les opérateurs, les machines, les fournisseurs, les clients, les directeurs……
  2. Son propre système qui demande du temps à comprendre, par exemple, chez Griset, dans le service qualité, il existe au moins quatre grandes applications de la gestion du système informatique : SAP, WINDEV, QALITEL et les serveurs internes.
  3. Difficultés d’avoir les données. Dans l’usine, pour lancer un nouveau projet comme REACH-RoHs, la difficulté à récupérer les données est prévue avant de commencer : 
      • Avec une longue histoire, chez Griset, il existe différentes références qui ne peuvent pas être standardisées ;
      • Avec différentes applications et services, il y a différentes sources de données ;
      • Avec de nombreux produits utilisés et fabriqués, les quantités sont parfois  approximatives ;
  1. Manque de données ou informations nécessaires, comme c’est un nouveau projet, de nouvelles données et informations sont parfois nécessaires.  Dans cette situation là, les données n’existent pas, par exemple les quantités de Produits Chimique consommées sur les bandes.
  2. Difficulté de sortir une méthode entière pour calculer les concentrations des substances restantes. Chez Griset les produits fabriqués sont demandés par les clients, en fonction des spécifications des clients, le service méthodes définit le processus de fabrication du produit. Donc, les produits fabriqués ont des gammes de fabrication diverses, d’où la difficulté d’estimer le passage de bande qui est important dans le processus de calcul.

1.4. 4  Synthèse

Une fois l’analyse terminée, le contexte de REACH-RoHs chez Griset, les avantages et les difficultés d’étendre le certificat à l’ensemble des produits fabriqués chez Griset sont presque bien identifiés.
Les objectifs, le processus de réalisation du projet sont bien indiqués dans les contenus avant, la partie « Plan » est faite. Il est temps de commencer la deuxième partie « DO ».

retour sommaire

 
CHAPITRE 2  Méthodes et Processus

Au cœur de la méthode principale, le PDCA est intégré dans la vie du projet. Car c’est une activité existant : Déployer et réaliser les tâches défini par l’ancien responsable du projet, comprendre les et contrôler et mesurer les en même temps, en cas de point faible, ajuster les, améliorer les pour éviter les risques, ensuite planifier et anticiper les actions après en DCAP amélioration continu……

PDCA

Figure 5  la méthode PDCA du projet - LIU Chunmei

Suivre les résultats restés par l’ancien projet, c’est créer la base des données. A priori, par rapport à la situation chez GRISET, pour être plus clair, c’est mieux de créer une base de donnés en commun. L’objectif est pour estimer les concentrations des substances sur les surfaces de produit fini afin de rédiger les documents à livrer au LISAM pour étendre le certificat REACH-RoHs à l’ensemble des produits fabriqués par Griset

Pour obtenir le certificat REACH-RoHs, au niveau de la méthode, une base de données est créé (par Pareto) afin de calcule la concentration de produit chimique sur la bande a construit en identifiant tous le processus de fabrication possible et la consommation des matières chimiques qui sont touchent la bande à chaque étape de réalisation.

Dans la base de données, les productions d’année 2012 ont choisi par la méthode Pareto, qui a finalement réussi trier 21 clients (13.5%) qui présentent les 80% produits vendus en 2012, nous avons registré tous les paramètres importants de produit dans le fiche Excel, par exemple : épaisseur fini et épaisseur à l’étape, densité, poids vendu, machine passé (gamme de fabrication), No° article, état métal …Ils prouvent nous aider d’estimer le passage de machine possible et calculer la concentration de substance sur le produit à chaque étape.  

image 6

Figure 6 la méthode Pareto du projet - LIU Chunmei

image7

Table 1 21 clients essentiels choisis par Pareto

Un autre grand partie dans la basse de données concerne les produits chimiques qui pourrai estimer la quantité  de substance chimique consommé sur la bande machine par machine.  Finalement nous pouvons sortir la concentration de substance chimique sur le produit fini, avant de livrer au client.


retour sommaire

2.1  Création de  la Base de Données

La  base de données sur Excel  est sert à recenser tous les chemins de fabrication possible (analyse des processus et circuits), et identifier toutes les matières chimiques utilisées à chaque étape de réalisation. Par rapport au contexte chez Griset, certaines actions sont décidées à la fin de la réunion avec le responsable assurance qualité et le directeur qualité:

Les quartes tableaux a b c d vont construire la base des données. 

2.1.1  Liste des Gammes de Fabrication

La méthode PCDA a été utilisée comme file conducteur.

Pourquoi liste la gamme de fabrication de produit fabriqué par article vendu client par client ? 

Pourquoi il existe le besoin d’estimer les différentes possibilités de la Gamme de fabrication ?

  1. Premièrement, chez Griset,  il y a de 156 clients, chaque client a plusieurs spécifications répondant à un besoin différent. Pour répondre aux besoins du client, Griset utilise une ou plusieurs gammes de fabrications.

009


Figure 7   Processus de la demande client - LIU Chunmei

retour sommaire


  1. Deuxièmement,  les types des produits sont riches chez griset, c'est-à-dire que griset est capable de fabrique différents en fonction des besoins avec des innovations. Principalement, chez griset, il y a deux grands groupes de produit : Produits Laminés Plats et Produits Electroniques avec double épaisseurs (uniquement en cuivre). Pour Produits Laminés Plats,il y a quatre familles : Bronze, Laitons, Cuivre, Aluminium en annexe 6

Il existe d’autres paramètres : l’état métal, le dimensionnel et revêtu ou non qui feront varier la gamme de fabrication même pour un même alliage.

Nous arrivons à la deuxième partie :
Comment faire ?

Contexte : Comme  indiqué dans la convention,  tout le projet va se construire sur Excel ;

Méthode : Cela revient à se poser des questions.

    1.    Gamme de fabrication de quel produit ?
    2.    Est-ce que  les ressources dans le système interne chez Griset sont simples d’accès ?
    3.    Sous quelle forme  noter les gammes ?

Répondre à la question a, revient à choisir l’échantillon le plus présentatif. Pour la question b, il est préférable de demander à des connaisseurs du système. Après discussion avec le responsable qualité et le directeur qualité la décision est prise :

Lister  les gammes de fabrication des produits livrés aux clients en 2012 avec la méthode Pareto, car il est plus simple de sortie les quantités de Produits Utilisés dans une année entière et les données sont  plutôt présentatives.  

C'est-à-dire :

  1. Sortir la liste des clients en 2012 ayant commandé de la matière,
  2. Utiliser la méthode Pareto pour trier les clients les plus importants  ;
  3. Rechercher et sortir les listes de demandes client par client en 2012 avec les commandes dans SAP.  Avec le numéro nous pouvons obtenir toutes les informations sur le produit fini.
  4. Trouver les gammes de fabrication avec l’aide de l’article vendu dans WINDEV et les imprimer (voir annexes pour un exemple de gamme de fabrication).
  5. Mettre en forme  la gamme sur EXCEL
  6. Classer les gammes client par client dans un classeur  

Avec cette action, une base de données pourra être créée.

Do :
La liste de client en 2012 a été rédigée par le secrétaire au service qualité s’occupant de suivre tous les chiffres et de préparer le bilan qualité. Elle peut être utilisée comme ressource pour la base.  Le tri par la méthode Pareto est fait sous la forme EXCEL,  le résultat est : 21 clients (13.5%) présentent les 80% produits vendus en 2012. Tableau est mis dan en annexe 8.

Les gammes de fabrication sont bien  enregistrées client par client sur EXCEL, pour 21 clients, cela représente 21 tableaux. Pour les deux groupes de produits, comme les gammes sont totalement différentes, il a été créé deux formulaires : Formulaire des produits laminés plats  et Formulaire des produits électroniques (voir lannexe 9

Attention que  le Produit Electronique est fabriqué par le Produit Laminé Plat, c’est LP qu’est son bande mère, indiqué dans le processus de fabrication dans l’annexe 

La première étape est faite. Mais n’oublions pas l’objectif final de créer la base de données, pour calculer la concentration des substances. Il existe de l’amélioration à faire après la sorti de la méthode de calculassions. Au long de création de la base, le réfléchi de la méthode de calculassions est déjà commencé (le processus de réalisation des méthodes est présenté dans le deuxième partie du chapitre 2)

retour sommaire

Un point est important : Par rapport au processus de fabrication, tous les produits utilisés sont restés sur la surface de la bande. Donc le surface de la bande sera un paramètre important. Pour avoir les surfaces de la bande, il nous faut Masse, Densité, Epaisseur. Donc, il faut ajouter les trois données dans la base.

Objectif Contexte
Plan d'action
Ajouter les Masse
Base de données est crée par une méthode de Pareto sur les quantités livrées aux clients, les masses totales de produit de chaque client sont calculées par les articles vendus, donc pour les produits finis, les poids peuvent être sorti dans SAP.
Avec 500 articles, il n’est pas évident de sortir les poids un par un.

1.    Ajouter une colonne pour noter les poids livrés au client article par article ;
2.    Utiliser SAP afin de trouver les chiffres de poids article par article ;
3.    Service Comptabilité peut sortir les quantités des produits vendus en 2012 ;
4.    Compléter cette colonne dans la base à l’aider de SAP et de la  fiche du Service Comptabilité

Ajouter les Epaisseurs
Les épaisseurs, sont en relations avec les spécifications des clients, toutes les informations sont enregistrées dans la fiche article, par exemple :
Numéro article : 23709
Libellé : 7441-CuZn3336 0,4 x 44-H13 ETA OK
La dimension de la bande finie est, 0.4 pour l’épaisseur et 44 pour le largueur

1.    Ajouter une colonne à noter les épaisseurs des produits finis article par article ;
2.    Ressortir toutes les gammes de fabrication
3.    Compléter la colonne des épaisseurs dans la base de données

Ajouter les Densités
Les densités  sont en liaison avec le type de métal. Au Service Qualité, il existe une application sur EXCEL pour calculer les dimensions de la bande, dedans, les densités sont plus simples à sortir.
1.    Ajouter une colonne à noter les densités article par article ;
2.    Sortir l’application à trouver les densités ;
3.    Compléter la colonne des densités dans la base de données.


Table 2 21 clients essentiels choisis par Pareto

La deuxième version de la base de données est terminée, un exemple de table est présenté en l'Annexe 10.

Vu les différences des donnés entre les produits laminés plats et les produits doubles épaisseurs, leurs listes des gammes vont être traité différemment.

retour sommaire

2.1.1.1  Produits Laminés Plats

Revenir au tout début du projet, dans le problème numéro 5 prévu dans le chapitre 1 que la difficulté d’estimer le passage de la bande des produits laminés plats, qu’est ce que peut être fait pour résoudre cette difficulté ?

10

Figure 8  Idée créative-une gamme de fabrication longue

Titre : Gamme de Fabrication Longue

Contexte :

  1. Pour les Produits Laminés Plats, la base de données a 21 feuilles EXCEL, pour faire le calcul, ce n’est pas évident.  Il faut simplifier. Mais comment ?
  2. Au tant de la difficulté d’estimer le passage de la bande, c'est-à-dire sur quelles machines est passée la bande ?
  3. Dans les 21 tableaux, chacun a déjà une gamme de fabrication non vraie

Conclusion, c’est la gamme de fabrication longue.

Définition : une gamme de fabrication longue n’est pas une gamme de fabrication réelle rédigée par le service méthodes avec la spécification de client, mais une gamme de fabrication estimée (virtuelle) qui est constituée par les gammes de fabrication des échantillons en 2012 qui ont été choisis pour le Certificat REACH-RoHS. C'est-à-dire que la gamme de fabrication longue a tout compris les gammes réelles, toutes les gammes de fabrications des articles choisis peuvent être notées dedans. Il a compris toutes les machines chez Griset à fabriquer les produits laminés plats dans l’ordre de production, certaines machines ont été répétées plusieurs fois, comme C22, DQ, C36 etc. 

Objectifs : Bien profiter les fonctions d’EXECL et Faciliter les tâches ensuite.
Plan d’action :

    1.     Recréer une fiche EXCEL
    2.     Copier les 21 tableaux dans une feuille
    3.     Masquer les détails afin d’afficher les 21 gammes de fabrications non vraies.
    4.     Estimer la Gamme de Fabrication Longue
    5.     Compléter la table avec les données des toutes les articles
    6.     Corriger les noms des alliages par la référence en Européenne
    7.     Vérifier l’exactitude des donnés

Do :
Le plan d’action est clair, ils ne sont pas les tâche difficiles à faire. Certaines images sont présentées en Annexe 12 pour surveiller  le processus de réalisation.
Check :
Au long de réalisation de la base de donné, il aura probablement des erreurs. Certaines gammes de fabrication ont été ressorties pour faire la vérification. Version 3 en Annexe 11

retour sommaire

2.1.1.2  Produits double épaisseurs 

Pour les produits double épaisseurs, les gammes de fabrication ne sont pas compliquées. Le processus de fabrication des produits double épaisseurs, n’utilise que 5 machines. C’est simple à estimer la gamme car il y a  5 passages de machines différents au total.

11
Figure 9  Le passage de produits double épaisseur    


retour sommaire

2.1.2  Liste des machines avec leurs fonctions

Cette action est simple et sans difficulté. Le process de fabrication est documenté avec précision en particulier les fonctions de machine.

Chez griset, il y a deux grands groupes de produit LP et DE, qui se répartissent moitié-moitié la quantité totale de fabrication. Leurs systèmes de fabrication ne sont pas le même. Les Produits DE ont plus de procédures de fabrication. L’extension du certificat REACH-RoHs concerne principalement ces produits DE (et les produits « sans C36 »).

Objectif : comprendre le système de fabrication et faciliter le travail au bout.

A partir du logiciel de la gestion documentaire QALITEL, nous sortons les fonctions des machines. Une table pour chaque groupe de produit est créé comme ci-dessous :

Produits laminés plats
Machines
Fonctions Commentaires
Cond
Conditionnement  package; mettre l’instruction de la bande
B73
Cisaillage   Découpe d’une grande largeur en plusieurs petites largeurs commandées par le client traduit par une gamme de fabrication.
B75 
Cisaillage   Découpe d’une grande largeur en plusieurs petites largeurs commandées par le client traduit par une gamme de fabrication.
B84
Cisaillage   Découpe d’une grande largeur en plusieurs petites largeurs commandées par le client traduit par une gamme de fabrication.
B85
Cisaillage   Découpe d’une grande largeur en plusieurs petites largeurs commandées par le client traduit par une gamme de fabrication.
B86
Cisaillage   Découpe d’une grande largeur en plusieurs petites largeurs commandées par le client traduit par une gamme de fabrication.
DQ
Laminage Le laminage s’effectue dans les 2 sens puisque chaque tambour ou mandrin est un « Enrouleur/Dérouleur ».
But : laminer d’une épaisseur à plus faible épaisseur commandée par le client traduit par la gamme de fabrication

C22
Laminage Le laminage s’effectue dans les 2 sens puisque chaque tambour ou mandrin est un « Enrouleur/Dérouleur ».
But : laminer d’une épaisseur à plus faible épaisseur commandée par le client traduit par la gamme de fabrication
A18
Laminage
Le laminage s’effectue dans les 2 sens puisque chaque tambour ou mandrin est un « Enrouleur/Dérouleur ».
But : laminer d’une épaisseur à plus faible épaisseur commandée par le client traduit par la gamme de fabrication
APL
Recuit dynamique
Four ; Décapage acide ; Rinçage : élimine toute trace d'acide ; Brossage : élimine les dernières traces ; Rinçage après brossage ; Inhibiteur : protection contre la corrosion ; Rinçage final -L'essorage ; Séchage de la bande
C36
Décapage et dégraissage (pour des épaisseurs plus faible comparé C34)
Pré-dégraissage (La bande est « lavée » par aspersion à l’eau chaude sans additif. Le but est d’enlever un maximum d’huile. La teneur en huile descend aux environs de 0.1 à 0.2 g/m2.) ;
Dégraissage électroplaque (soude +Novaclean); rinçage ; décapage (Acide Sulfurique H2SO4); rinçage ; brossage ;
Inhibition ( une substance chimique qui a la propriété de se fixer au cuivre par des liaisons covalentes, Cela protégera la bande contre la corrosion car aucun oxyde ne pourra se former.)

C35
Décapage et dégraissage (peu utilisé)
Dégraissage ; brossage ; rinçage ; dépôt d’inhibiteur ; rinçage inhibiteur ; essorage
C34
Décapage et dégraissage
Dégraissage ; rinçage ; décapage ; brossage ; inhibition ; séchage
FOU
Recuit stastique Assurer  le ou les traitements thermiques prévus dans la gamme de fabrication d’un produit.
Recuit : Réchauffage du produit à T= 490 °C  Nouvelle structure cristalline
Restauration : Réchauffage du produit à T = 280 °C  Nouvelle structure cristalline à grain très fin
Détentes : Réchauffage du produit à T = 220 °C  Pas de Modification de la Structure mais amélioration de l’allongement en conservant les autres propriétés mécaniques (Résistance, limites élastiques).
Ce type de traitement permet de supprimer les tensions internes du métal.
Bronze / Laiton : les 3 traitements sont possibles,
Cuivre : Possible uniquement traitement RECUIT
CLO
Recuit stastique comme au dessus
B90
Recuit stastique comme au dessus
B15
Recuit stastique
comme au dessus
F89
planage
Planer les bandes à la fin du processus de fabrication afin de conformer les exigences de clients, traduit dans la gamme de fabrication
F87
Planage
comme au dessus
EBAU
Linge chaude
Laminage
FRAISSEUSSE
Linge chaude Brossage ; Fraisage ; Planeurs ; enrouleur à chaud
TANDEM
Linge chaude Coupage des deux côtés de la bande

Table 3 Machines et ses fonctions pour les produits laminés plats

retour sommaire

Produits électroniques


Machines Fonctions Commentaires
ligne DE
Conditionnement   
Contrôle  
Développement produit processus     
Outillage
Planning
package;
mettre l’instruction de la bande
 Fabriquer les doubles épaisseurs
D02
Ligne de détensionnement
une machine de détensionnement qui sert à libérer le métal des tensions internes. en mode discontinu.
FR01
 Ligne de décapage inhibition
une machine de nettoyage qui sert à protéger la surface du cuivre contre l’oxydation ; en mode continu avec un accumulateur et discontinu (dégradé) sans l’accumulateur ; Dégraissage électrolytique ; Brossage ; Rinçage ; Inhibition ; Séchage
R01
 Ligne de raclage
FR02
  Ligne de fraisage Une machine fraise le métal pour avoir la deuxième épaisseur, il ne touche pas la largeur ou la longueur, c'est-à-dire la surface d’une bande ne change jamais après passer FR02. Il fabrique des produits spéciaux.
 
Il a des fonctions des nettoyages, brossages, …. Une bande mère a passé FR02, c’est les produits fini.

Table 4 Machines et ses fonctions pour les produits double épaisseur

Avec ces deux tableaux, c’est plus facile de travailler pour de personne qui connait pas encore le système de fabrication par cœur.

retour sommaire

2.1.3  Listes des Produits Utilisés

Contexte : A partir des deux tableaux de toutes les machines et leurs fonctions, c’est le début pour chercher les informations des substances chimiques que l’on appelle Produits Utilisés qui touchent les bandes. Il y a aucun doute sur le besoin de savoir les quantités consommées sur les bandes, c’est à partir de cela que la concentration de substance sur le produit fini pourra être  calculée. Donc lister les produits utilisés c’est pour finalement sortir leurs quantités consommées sur les bandes machine par machine.

Objectif : sortir les quantités consommées des produits utilisés sur les bandes machine par machine en 2012.

Remarque : cette action-là est  plus dure comparé avec les autres, la problématique est déjà prévu au tout début du projet, car ce domaine est la partie non connue, il n’existe pas d’informations suffisantes pour réussir l’objectif de cette action.

Comment faire ?

Apres discuter avec le responsable qualité qui connait très bien l’usine et qui a travaillé chez griset depuis 30 ans. Pour savoir les quantités consommées des Produits Utilisés sur la bande, au moins, nous pouvons commencer cette tâche comme le processus dessous :


Schéma :

QQQ 

  Figure 10  Le processus de l’utilisation des produits chimiques 

retour sommaire

Plan d’action :

  1. Lister les noms des produits qui touchent la bande machine par machine pour les produits laminés plats et produits double Épaisseurs ;
  2. Éditerune liste complète des produits utilisés dans l’usine pour le service Achats
  3. Demander au service Achats de sortir les quantités achetées en 2012 de ces produits
  4. Discuter avec les Responsables des machines afin d’estimer les entrées et les sorties de produits utilisés machine par machine.
  5. Discuter avec le Responsable de la gestion des déchets pour vérifier la quantité sortie des produits dont il a la charge
  6. Calculer et estimer les quantités consommées de produits utilisés machine par machine.

DO :
Tâche 1 : Lister les noms des produits qui touchent la bande machine par machine pour les produits laminés plats et produits double Épaisseurs ;

Avec le logiciel de gestion documentaire QALITEL, on peut éditer une des produits utilisés en utilisant les informations contenues dans les  MI (Manuels d’instructions des machines).

Par précaution cette liste est soumise à vérification auprès des Responsables de fabrication.

Au tout début du stage, il faut s’informer et discuter avec les Responsables de fabrication afin de comprendre leur façon de travailler et d’obtenir les informations de consommation de ces produits.

Lorsque cela était nécessaire, aller sur terrain pour vérifier les données avec les operateurs afin d’ajuster au mieux la consommation.


13 

Figure 11   Processus de recherche des produits utilisés  

Après tous les effets, les deux tableaux sont présentés dans l’Annexe 14

Tâche 2 : Editer une liste complète des produits utilisés dans l’usine pour le service Achats

Cette tâche est simple à faire. Rassembler les deux tableaux avant, c’est suffisant. La table se présente dans l’Annexe14

retour sommaire

Tâche 3 : Demander au service Achats de sortir les quantités achetées en 2012 de ces produits

 14 
Figure 12  Processus de recherche des quantités achetées de produits utilisés en 2012 

Remarque : c’est de la communication entre services et c’est plus simple à gérer, car il y a moins de personne dans cette tâche.

Toutes les données des quantités achetées sont engistrées dans le système SAP.

Pour acheter les produits utilisés chez Griset, le processus est le suivant :  

QQ

Figure 13  Processus d’achat des produits chimiques    

Le service Achats est en mesure de sortir les commandes de produits utilisés en KG ou L. Pour certain produit, ce sont des commandes passées en 2012 et d’autres des commandes passées en 2011 ou bien même avant, s’il s’agit de produits peu utilisés.

Tâche 4 : Discuter avec les Responsables des machines afin d’estimer les entrées et les sorties de produits utilisés machine par machine

Les responsables des machines concernés ne sont pas en mesure de donner les consommations exactes et il n’existe pas de feuille de suivi des consommations de ces produits.

C’est au travers de leur expérience et de celle des operateurs que les  consommations peuvent être estimées. 

Remarque :

Problème rencontré : pour différentes machines, selon leur fonction, le traitement des produits utilisés n’est pas le même, c’est compliqué de gérer l’ensemble. Il faut alors les traiter une par une

IMAGE014

Figure 14  Traitement de l’entrée et la sortie de produit chimique par machine
   

Tâche 5 : Discuter avec le Responsable de la gestion des déchets pour vérifier la quantité sortie des produits dont il a la charge

Le Responsable de la gestion des déchets/Exploitation STEP, ne connaît pas les concentrations des produits utilisés dans les eaux arrivant à la STEP. Ce sont les eaux de rinçage ou refroidissement des machines : C36 (52%)>C34 (20%) > APL (10%) >FR01 (10%)>DE (8%).

Le système de STEP mesure les concentrations des 4 paramètres : PH ; Cu ; Zn ; Al. Pour les autres produits Utilisés dans ces machines, il y a des bains fermés en utilisation continue. Lorsque les Responsables des machines veulent changer les bains, le Responsable de la gestion des déchets va demander à des sociétés extérieures de venir récupérer les bains. Particulièrement les bains : eau + Igarmet 42; eau + Somentor 32 ; bains d’huile soluble de la ligne à chaud, du laminoir Duo-Quarto, de la FR02 et C22.

Ces sociétés extérieures ne calculent pas les concentrations des substances dans les déchets, c’est donc difficile d’avoir les informations de  sortie des produits utilisés.

Tâche 6 : Calculer et estimer les quantités consommées de produits utilisés machine par machine


2.1.4   Liste des concentrations des substances limités sur RoHS

Pour chaque produit fabriqué par Griset, il y une fiche de données de sécurité(FDS) faisant état des substances dangereuses.  Un tableau Excel Excel en Annexe 15 liste les concentrations des six substances :plomb(Pb) ; mercure (Hg) ; cadmium(Cd) ; chrome hexavalent (Cr Vi) ; polybromobiphényles(PBB) ; polybromodiphényléthers (PBDE).

retour sommaire

2.2 Résultats de la base des donnés

2.2.1 Processus de fabrication intégré les produit chimiques

2.2.1.1 Processus complet de transformation des Produits Laminés Plats

1) Ateliers d’ébauchage

Ligne chaud comprend trois machines: EBAU, FRAIS, TAND ; en fonction de traitement des matières chimique, ils sont traités ensemble.  Les quatre produits chimiques utilisés touchants la bande :

Huile de laminage – EBAU et TAND

Huile de Coupe - FRAIS

Huile de laminage - TAND

Acool Laurique – Additif laminage -TAND

IMAGE7

Recuit dynamique : APL
- décapage acide
- dégraissant

Figure 15  Processus de fabrication d’atelier ébauchage pour LP

2)  Atelier de finitions

Décapage et dégraissage, trois machines C34, C35, C36. C34 dégraisse des bands ayant épaisseur épaisse ; C35 ne tourne de moins en moins ; C36 dégraisse des bandes ayant épaisseur faible. C36 fonction mieux que C34, il a de cycle fermé au niveau de l’utilisation de produit chimique, moins de volume utilisé.
décapage- C34, C36
dégraissant – C36
dégraissant – C34
Inhibiteur- C34, C36
images 9

Figure 16  Processus de fabrication d’atelier finition pour LP

retour sommaire

2.2.1.2  Processus des bandes double épaisseur par estampage/laminage

image17

Figure 17 Processus de fabrication d’atelier estampage pour DE

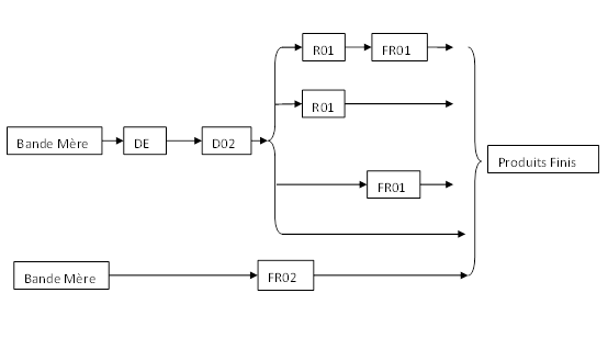
Cet atelier de double épaisseur ont 4 machines, DE, D02, R01, FR01 en utilisant 4 types de gamme de fabrication totalement:

image18

Figure 18 possibilité de gamme de fabrication d’atelier estampage pour DE

La section du produit change uniquement durant l’opération d’estampage/laminage :

image19

Figure 19  Processus de fonctions de ligne DE intégré les produits chimiques utilisés

retour sommaire

2.2.1.3  Processus des bandes double épaisseur par fraisage grande vitesse intégré les produit chimiques

image20
image21

Figure 20  Processus de fabrication d’atelier de fraisage de grande vitesse

retour sommaire

2.2.2  Gamme de fabrication et liste de produit chimique

Un schéma général à présenter la gamme de fabrication pour les 4 familles des alliages Pour chaque famille de bande, le passage de machine est différent, ci-dessous va présenter le chemin le plus présentatif, comme ca, nous pouvons savoir quelles produis chimiques ont possibilité de reste sur la bande pour chaque famille.
image 21
Figure 21.  Schéma générale de gamme de fabrication au niveau de l’usine

retour sommaire

2.2.2.1 Pour le produit laminé plat
1) Aluminium

Dans la base des données, il y a 26 article de Aluminium choisis, ils ont 4 gammes de fabrication en totale, comme ci-dessous :

image22

Figure 22  les gammes de fabrications de plus répété pour la famille Aluminium

2) Laiton

Dans la base de données, il y a 114 articles Laiton fabriqués selon 14 gammes de fabrication, comme ci-dessous :


image23

Figure 23  Gammes de fabrication le plus répété pour la famille Laiton

retour sommaire


3) Cuivre

Dans la base de données, il y a 202 articles Cuivre fabriqués selon 17 gammes de fabrication, comme ci-dessous :

images24

Figure 24  Gammes de fabrication  le plus répété pour la famille Cuivre

4) Bronze

Dans la base de données, il y a 46 articles Bronze fabriqués selon 6 gammes de fabrication, comme ci-dessous :

 
image 26

Figure 25  Gamme de fabrication le plus répété pour la famille Bronze

retour sommaire


Pour résumer :

Les articles Aluminium sont fabriqués avec 3 machines « à chaud » et 3 machines « à froid »


images 25

Table 5  Liste de produits chimiques utilisés pour Aluminium

Les articles des 3 autres familles (Bronze, Cuivre, Laiton) sont fabriqués au moyen de 3 machines « à chaud » et 8 machines « à froid »

images28


Table 6    Liste des produits chimiques utilisés pour Bronze, Cuivre, Laiton

retour sommaire

2.2.2.2 Pour le produit double épaisseur(DE)

Dans la base de données, il y a 50 articles Cuivre profilés fabriqués selon 5 gammes de fabrication ci-dessous :

1)    Cuivre

image29

Figure 26 Gamme de fabrication pour le Cuivre profilé

image 30

Table 7   Liste de produits chimiques utilisés pour le cuivre profilé

retour sommaire

2.3  Méthodes à calculer les concentrations des substances

Le processus de calcul des concentrations n’est pas identique, en raison des différents processus fabrication, des produits utilisés et des machines par lesquelles passent les produits laminés plats et les produits double épaisseurs. La situation des produits laminés plats est plus compliquée et c’est aussi la base des produits double épaisseurs. C’est donc la partie du processus à calculer en premier, puis ce sera les produits double épaisseurs.

2.3.1  Pour les produits laminés plats (LP)

Au cours de la création de la Base, les informations du système de fabrication des produits ainsi que les substances utilisées pour les produire sont devenues  plus claires. Par rapport à la façon dont les bandes sont fabriquées chez Griset, pour sortir les concentrations sur les produits finis, il faut calculer les concentrations sur les surfaces.

Le schéma suivant résume les paramètres importants à prendre en compte afin d’éviter des erreurs.


CHESE

Figure 27  Processus de calcul des concentrations pour Produits Laminés Plats    

retour sommaire

Le schéma à calculer les concentrations des substances


                 SCHEMA

Figure 28  Le schéma à calculer les concentrations des substances     



Les résultats finaux sont les quantités résiduelles potentiellement présentes sur les produits avant livraison, c'est-à-dire le Concentration de la Substance (Produit Chimique) qui a été utilisée dans le processus de fabrication.

L’équation de base est la suivante :


028


PU : Les Produits Utilisés ; les produits chimiques participant à l’élaboration du produit vendu.

PF : Produits Fabriqué par Griset (produit vendu).

Au regard du schéma, les Concentrations des Produits Utilisés dans les Produits Fabriqués tient compte de la surface des bandes à chaque étape de transformation.


retour sommaire

2.3.1.1  Surface de produit fini LP

On considère la masse et la surface des bandes  comme expliqué ci-dessous :

AAAA

Figure 29  Surface de produit fini LP


M=ρ×V=ρ×Longeur×Largeur×E.

S=2Longeur×Largeur

Les surfaces comptabilisées ne tiennent pas compte de la tranche (épaisseur), car obtenu par cisaillage après dépôt de tout produit chimique (sauf huile Alvisolv 10). Par ailleurs, cette valeur est négligeable au regard des surfaces principales.

Equation des surfaces:

  S=2M/ρE

Les unités sont:
M: kg
ρ:kg/〖dm〗^3
E: mm
Le calcul des surfaces donne :

S∶m^2=kg/(kg⁄m^3 ×m)=kg/(kg/〖(10dm)〗^3 ×〖10〗^3 mm)=kg/(kg/〖dm〗^3 ×mm)

retour sommaire


2.3.1.2  Surface de produit à l’étape de machine

En connaissant la surface de tous les produits finis et en intégrant le taux de rebut (mise au mille) il devient possible de calculer la surface et la masse entrante de chaque produit lors de chaque étape de transformation.

QQA

Figure 30  Surface à chaque étape

AAAA1

Sur EXCEL, toutes les surfaces peuvent être calculées pour chaque étape de transformation en ajoutant des colonnes qui présentent toutes les épaisseurs et toutes les surfaces de l’étape .


retour sommaire

2.3.1.3  Surfaces totales par machine

image32

Figure 31   Logigramme de surface passé totale par machine en 2012

Sur la gamme de  fabrication longue certaines machines se répètent trois ou quatre fois, pour calculer les surfaces totales, toutes les situations vont être comptabilisées.

  image33   

  Figure 32  Surface totale par machine   

image32

i : se présente les articles des produits qui sont passé par machine
β : représente la machine
Notons que l’étude porte sur 80% du tonnage réalisé par Griset en 2012. Il conviendra de corriger les surfaces totales de ce rapport 0,8. 

image34

Les machines C35 et B90 tournent très peu, donc ne comptent pas. Les machines FOFU, CLO, B15, F89, F87, COND ne comptent pas car elles n’utilisent pas de produits chimiques.

retour sommaire


2.3.1.4 Consommations des Produits Utilisés par machine

image35


Figure 33  Logigramme de l’obtention de  la quantité de substance  consommée sur la bande

Avec toutes les Entrées et Sorties estimés des produits utilisés par machine dans la base, nous pouvons calculer les consommations d’une année entière selon le schéma ci-dessous. Ces valeurs d’Entrée – Sortie sont des estimations au plus juste, qui sont souvent maximiser en Entrée (données d’achat).

Consommation = Entrée – Sortie

2.3.1.5  Concentration de chaque substance à l’étape

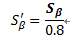
Les Concentrations  Types de  substance par machine sont théoriquement stables. Le process ne change pas. Notons que pour certaines machines, nous avons mesuré la concentration de produit chimique sur la surface, par dosage.  Au niveau du processus de calcul, les Concentrations types des produits chimiques par machine peuvent être sorties par l’équation ci-dessous :
image

Sβ': Surface totale passé par machine β
Vαβ : Quantité de produit chimique α consommé sur les surfaces de machine β en 2012

                     retour sommaire

2.3.1.6     Concentrations des substances sur les produits à l’étape 

Hypoesthésie 1 : Nous considérons que les substances une fois déposées restent « accrochées » aux surfaces des bandes produites. Le paramètre qui change sur la bande, c’est l’épaisseur qui cause l’augmentation de changement de surface une fois que la bande passe le processus de laminage. La concentration de la substance sur les poids à l’étape par alliage : Cαβi 

image37

Notons simplement le cas de l’huile (laminage…) qui sera éliminée dans le process de dégraissage spécifiquement dédié, l’huile sera alors automatiquement comptabilisée.

2.3.1.6  Concentrations des substances sur les poids des produits finis

La concentration de la substance sur les poids des produits finis :

image39


2.3.2  Pour les produits doubles épaisseurs (DE)

Les produits double épaisseur sont fabriqués dans deux ateliers distincts, l’un d’estampage/laminage et l’autre de fraisage grande vitesse.

Estampage/laminage :Les produits fabriqués par estampage/laminage suivent une succession d’opération de transformation en continue et reprise (Estampage/Recuit/Brossage/Nettoyage/Laminage/Cisaillage …). Le principe de calcul des Produits Utilisés est identique aux Laminés Plats.

  1.     Calculer la surface de produit fini
  2.     Calculer la surface de produit intermédiaire ou à l’étape
  3.     Calculer les surfaces totales passées par machine
  4.     Calculer les consommations des Produits Utilisés par machine
  5.     Calculer les concentrations de Produits Utilisés sur les produits intermédiaires
  6.     Calculer les concentrations de Produits Utilisés sur les produits finis
Notons simplement une différence importante de forme entre deux grandes familles de produits double épaisseur, le profil en U et en T selon les schémas ci-dessous :


026  

La section du produit change uniquement durant l’opération d’estampage/laminage :

EN T 

Figure 34  Surface de produit fini pour produits double épaisseur     

retour sommaire


La section du produit change uniquement durant l’opération d’estampage/laminage. La section finale de chaque produit est déterminée par la spécification du client. Cette exigence est reportée dans le process pour établir à la fois la bande mère et les réglages de l’opération d’estampage :

 

                                                                                                                                                      

M=ρ×V=ρ×Section×Longeur

S=2×Longeur ×Largeur


Ce qui donne,

S=(2M×Largeur)/(ρ×Section)


Les Unités de cette équation 

S : m^2
M : kg
ρ:8.92  kg⁄dm^3
Section : cm^2
Largeur : mm

DE3


Il faut considérer les unités afin de calculer directement aves les valeurs enregistrées, l’équation devient 

S=100×(2M×Largeur)/(ρ×Section)


Produits Double Epaisseur

Machines
Mis au Mille
EST
MAM EST
D02
MAM D02
R01
MAM R01
FR01
MAM FR01


Les M, les largeurs et les sections des produits finis ou intermédiaires des échantillons qui sont été choisi sont dans la base.

M_entreée=(MAM+1)×M_sortie

retour sommaire

Avec la même fonction, les surfaces à l’étape peuvent être sorties.  En fait, comme présenté avant dans toutes les possibilités des gammes, les surfaces ne changent qu’ne fois lors de  l’étape d’estampage et de laminage. Les deux surfaces sont définies comme la surface Entrée et la surface Sortie.

Les Produits Utilisés en Estampage sont les huiles Morlina S2B 460 et Condat Mecanic EP 460, qui sont dans les surfaces d’Entrée, les autres produits sont tous sur les surfaces de Sortie.

Avec les consommations de Produits Utilisés, il est simple de calculer les concentrations par surface.  

Les concentrations  des Produits Utilisés sur les produits non-finis à l’étape: Cαβ
Les quantités ou les volumes consommés des Produits Utilisés : Vαβ

Cαβ=Vαβ/Sβ 

Avec la gamme de fabrication de chaque article, les concentrations de chaque Produits Utilisés sur les surfaces pour un article de produit à l’étape :

 Ciαβ=Cαβ

La concentration de la substance sur les surfaces des produits finis : Cαβi  ;
La concentration de la substance sur les poids des produits finis : Pαβi  ;

ER

Les calculs sont reportés dans le tableau Excel.


retour sommaire

Fraisage grande vitesse : Pour les produits qui sont fabriqués par Fraisage Grande Vitesse (Machine FR02), les surfaces de la bande ne changent pas, car l’enlèvement de copeaux ne modifie pas la largeur et la longueur de la bande mère correspondant aux spécifications des clients. La machine FR02 est capable de fabriquer des produits spéciaux aux formes complexes.

Les quatre Produits Utilisés dans cet atelier de Fraisage sont : Liquide gras ; Inhibiteur ; Dégraissant et Huile de laminage. L’inhibiteur est utilisé sur d’autres machines tandis que les 3 autres sont utilisés uniquement par l’atelier de Fraisage. Leurs concentrations peuvent être calculées par les quantités consommées sur les poids des produits intermédiaires directement.

C=V/M

Les produits sont utilisés dans les différentes procédures de fabrication, ce qui changera la quantité de M,  en fait, pour FR02, il n’y a que deux poids, entrée et sortie, le poids changeant à l’étape de fraisage.

image40  

Figure 35 Produits utilisés à l'étape FR02

Donc les concentrations des substances sur les produits finis en année 2012:

Les calculs sont reportés dans le tableau Excel.

retour sommaire


En conclusion, le processus de calcul peut présenter comme le schéma au-dessous :

image41

Figure 36   Synthèse du principe de calcul

retour sommaire

2.4 Résultats de calcul

2.4.1 Concentration Type de substance par machine

image


Figure 37  Résultats de Concentration Type par machine

retour sommaire


2.4.2 Concentration de substance sur le produit fini

Les résultats de chaque concentration par alliage vont présenter dans les formulaires en dessous, ils incluent les paramètres principaux, tous les  produits chimiques et son processus de fabrication concerné.  Les symboles ‘+ ‘ dans le tableau présentent que cette machine utilise ce produit chimique ; le symbole ‘-‘ se présente que cette machine enlève ce produit chimique. Tous les résultats des articles vendus  dans la base de données peuvent être présentent dans ces deux tableaux par choisi le N° Article, ici, nous vous présentons des exemples  le plus représentatifs pour chaque famille. 

L’unité de résultat est PPM (mg/kg)

IMAGE40

Table 8  Formulaire à présenter les concentrations des substances sur le produit fini LP

IMAGE45

Table 9  Formulaire à présenter les concentrations des substances sur le produit fini DE

retour sommaire



Nous avons analysé les tendances de concentration par epaisseur, pour les produits chimiques qui sont utilisés en fin de fabrication (huile de cisaillage, dégraissant, huile de laminage). Quand l’épaisseur est plus faible, la valeur de concentration est plus importante. Tandis que les produits chimiques qui sont utilisés en début de fabrication (huile fraisage, dégraissant, huile laminage), la valeur de concentration ne varie pas beaucoup avec l’épaisseur. Pour mieux comprendre, nous  présentons quelques résultats par alliage en utilisant le formulaire de concentration de substance. Les cas choisis sont les articles les plus préventifs.


Aluminium  Cas 1   Gamme de Fabrication :
image47

No° Article Vendu : 25556-  épaisseur : 2.5 mm

image 48

No° article vendu : 25973- épaisseur  0.5 mm

image49

Figure 38  Concentration pour 2 Aluminium ayant la même gamme mais des épaisseurs différentes

retour sommaire


Laiton cas 1  Gamme de Fabrication :image50

No° article vendu : 22473 – épaisseur : 0.8 mm

image51

No° article vendu : 24114 – épaisseur : 0.5 mm

image52

Figure 39  Concentrations pour 2 laitons ayant la même gamme mais des épaisseurs différentes

retour sommaire

Bronze cas 1  Gamme de Fabrication :image53

No° article vendu : 16441– épaisseur : 0.6 mm

image54

No° article vendu : 12761 – épaisseur : 0.4 mm

image55


Figure 40 Concentration pour 2 bronzes ayant même gamme mais des épaisseurs différentes

retour sommaire

Cuivre  cas 1  Gamme de Fabrication :image56

No° article vendu : 24227 – épaisseur : 0.4 mm

image57
 
No° article vendu : 22473 – épaisseur : 1.3 mm

image58

Figure 42  Concentration pour 2 cuivres ayant la même gamme mais des épaisseurs différentes

retour sommaire


Produit Double Épaisseur, Gamme de Fabrication:

image100

Cuivre FPG – type 20437 – épaisseur : 0.8 mm

image59

Figure 42  Concentrations pour 1 cuivre profilé par fraisage

retour sommaire


Produit Double Épaisseur, Gamme de Fabrication :image61

Produit D.E. CuNI  - type 23529 – épaisseur forte : 1.27 mm

image62

Produit D.E. FPG  - type 24686 –  épaisseur forte : 1.27 mm

image63

Figure 43  Concentrations pour 2 cuivres profilés par estampage ayant même gamme de fabrication mais des épaisseurs différentes

retour sommaire



CHAPITRE 3- Conclusion et perspective

  3.1  Documents livrés au LISAM

LISAM est un partenaire de Griset au niveau de la veille réglementaire. La synthèse sera livrée au LISAM, elle doit être claire, simple et compressible afin qu’ils puissent comprendre le processus de traitement des substances et le processus de préparation (calcul des concentrations des substances potentielles sur les produits livrés aux clients)

Parmi les documents utiles à la description et compréhension du process :  
  1. Une description schématique du procédé y compris les étapes de traitement chimique, de lubrification, lavage, rinçage etc.
  2. Les matières entrantes, sortantes et consommées en cours de fabrication avec les quantités mises en œuvre et les dimensions (épaisseur déposée…) pour chaque grande famille de produits fabriqués
  3. Les FDS des produits chimiques utilisés, les fiches techniques et /ou les spécifications des matières mise en œuvre
  4. Tout certificat d’analyse et toute information utile pour comprendre les procédés et vérifier ou calculer les concentrations des substances recherchées et les quantités maximales pouvant être présentées dans les produits fabriqués
Dans la synthèse officielle, le document comporte 6 parties. Car LISAM est notre partenaire depuis des années, nous n’avons plus besoin de présenter la société, nous avons commencé directement avec le principe de la méthode – Pareto et base des données- sans entrer dans les détails du calcul. Des informations supplémentaires sont jointes en annexe. Ensuite, nous présentons le processus de fabrication intégrant les produits chimiques utilisés à chaque étape de réalisation avec des photos et tables pour comprendre facilement les utilisations de chaque machine. La gamme de fabrication et le traitement des produits chimiques, quelques exemples par famille sont présentés dans la troisième partie. A partir des bases, nous montrons les résultats  les plus représentatifs, c’est  à dire, la concentration type de substance par machine, qui ne change pas si les éléments de fabrication ne changent pas et les concentrations des substances sur le produit fini. Etant donné qu’il n’est pas possible de présenter le résultat des 500 articles vendus, nous avons choisi les articles qui ont des gammes de fabrication répétitives.

retour sommaire


La table des matières ci-dessous illustre cette synthèse :

I.    Méthode principal                 
II.    Processus de fabrication intégré les produit chimiques   
1.    Processus complet de transformation des Produits Laminés Plats  
2.    Processus des bandes double épaisseur par estampage/laminage   
3.    Processus des bandes double épaisseur par fraisage grande vitesse  
III.    Gamme de fabrication et liste de produit chimique   
1.    Pour le produit laminé plat   
2.    Pour le produit double épaisseur(LP)   
IV.    Résultats de calcul   

V.  Méthode de calcul  
1.    Pour le produit laminé plat   
2.    Pour les produits doubles épaisseurs (DE)   

Table 10  Table des matières de la synthèse livré au LISAM

Dans l’esprit d’amélioration continue un outil de suivi est à mettre en place pour pérenniser le système.

retour sommaire


3.2  Outil de suivi
3.2.1 Objection de l’outil

Outil facile et rapide sous Excel
-Accompagner les changements de processus de production.
-Evaluer l’impact des modifications de substances sur les produits finis.
Cet outil  tableau Excel  nous sert à modéliser  l’impact d’un  changement de substance ou de Gamme de Fabrication

3.2.2 Présentation de l’outil
Cet outil est basé sur les données des produits vendus en 2012 triés par la méthode Pareto. Les substances concernées sont les produits chimiques qui touchent la bande à chaque étape de réalisation. La Concentration Type de substance par machine ne changera jamais si les éléments du processus de fabrication ne changent pas, c'est le résultat de la quantité consommée  totale de substance par machine sur la surface totale passée par machine. Les résultats finaux sont les concentrations des produits chimiques sur le poids de la bande par article.
Cet outil intègre les possibilités de changement. Des exemples ci-dessous expliquent le fonctionnement :
- changement de la Valeur de substance
- changement de substance (son nom et valeur)
- changement de gamme (ajouter ou enlever une machine / création d’une nouvelle gamme)

retour sommaire


3.2.3 Le menu
IMAGE64
Figure 45  Menu d’Outil Suivi

retour sommaire


3.2.4 Les contenus – trois tableaux essentiels

3.2.4.1 Tableau complet de LP incluant trois parties

A.  Informations sur l’article ou l’alliage

IMAGE106

B.  Résultats de concentration des substances sur le produit fini (par alliage)
IMAGE110
C.  Processus de Calcul avec la Gamme de Fabrication Longue

IMAGE109

retour sommaire


3.2.4.2 Tableau complet de DE incluant quatre parties
A.  Informations  sur l’article ou l’alliage

IMAGE67

B.  Résultat de concentration de substance sur le produit fini par alliage

IMAGE66
C.  Résultat de concentration de substance de la Bande mère par alliage

IMAGE65

D.  Processus de Calcul intégré dans la Gamme de Fabrication Longue

IMAGE71

retour sommaire


3.2.4.3 Tableau de Concentration Type incluant deux parties

A.  Surfaces et Poids fabriqué en 2012 machine par machine

IMAGE72

B.  Concentration Type des produits chimiques dans l’usine et processus de calcul

IMAGE103

retour sommaire


3.2.5  Les liens entre les trois tableaux de résultat


IMAGE100

*Les colonnes de couleur verte intègrent les liens entres ces tableaux

retour sommaire

3.2.6 Possibilités de changements:

Cet outil (tableau Excel)  nous sert à modéliser  l’impact d’un  changement de substance ou de Gamme de Fabrication dans 4 situation différentes.

Avant de modifier les contenus de l’outil, Juger c’est quel cas?


3.2.6.1 Type A. changement de substance

Cas n°1. La valeur de Concentration Type change :

  1.  Aller dans le tableau de <Concentration Type de Machine>
  2.  Changer sa valeur directement sans toucher les deux autres fichiers <LP> et <DE>
Exemple

Le cisaillage devient plus efficace avec une nouvelle huile. Elle permet de réduire de 10% la quantité


IMAGE73
La modification est faite, toutes les  autres valeurs ont changées automatiquement

Cas n° 2. Le produit chimique change :

  1. Aller dans le tableau de <Concentration Type de Machine>
  2. Changer sa valeur  et le nom,
  3. Aller dans le tableau de <LP> ou <DE> , changer le nom

Exemple: Remplacer Huile de cisaillage par nouvelle huile. Elle nous permet de réduire de 10% la quantité

IMAGE74
IMAGE75

La modification est faite, toutes les  autres valeurs ont changées automatiquement

retour sommaire

3.2.6.2 Type B. Création ou changement de Gamme

Cas n° 3. Ajouter ou Enlever une machine dans une gamme existante : 

  1. Aller dans le tableau complet de <LP> ou <DE>, Trouver une gamme similaire par Alliage (épaisseur, état métal, section (DE) etc. )  
  2. Trouver la machine dans la Gamme de Fabrication Longue, ajouter ou Enlever  la croix dans la colonne concernée, sans toucher aux autres

Exemple: Dans une gamme nouvelle de LP, ajouter une machine C22, avec toutes les informations par exemple l’épaisseur à chaque étape….



IMAGE76

Cas n° 4. Créer une gamme nouvelle : 

  1. Aller dans le tableau complet de <LP> ou <DE>;
  2. Insérer une ligne au début
  3. Remplir les informations comme les machines, alliage, épaisseur à chaque étape, le poids vendu etc.
  4. Copier la fonction de calcul en Copie Incrémenté

Exemple: une nouvelle gamme: Cuivre, FPG, H12,  0.8, 100kg,


IMAGE69

IMAGE68


La modification est faite, toutes les  autres valeurs ont changées automatiquement

retour sommaire


3.2.7 Consulter les résultats par No° Article Vendu

Exemple: nous avons un No° Article Vendu: 25595 en 2012, c’est du produit DE, nous avons besoin de savoir ses concentration des produits chimiques

IMAGE70

Cette partie présente les possibilités de changement de la base,. En effet, si vous rencontrez des  changements non-cités dans les exemples, et que vous n’arrivez pas  à modéliser le système, je vous conseille de regarder la synthèse de l’outil qui présente le processus de calcul et  de création.

retour sommaire


3.3 Perspectives

Les objectifs de mon projet sur la préparation de l’obtention du certificat REACH-RoHS étaient de calculer les concentrations des substances chimiques sur tous les produits fabriqués par Griset afin de livrer les documents utiles à notre partenaire LISAM pour obtenir le certificat. Cet objectif a été atteint.
Le second objectif consistait à mettre en place un outil simple et rapide de suivi des changements de façon à évaluer rapidement l’impact des modifications apportées au process. Cet objectif a été atteint.
La méthode PDCA a été intégrée tout au long du projet avec d’autres outils de la qualité (Pareto, PDS…….). Les deux réglementations REACH et RoHs sont des directives dont il m’a fallu  comprendre l’essentiel.
Ce stage m’aura apporté de la rigueur dans la réflexion et le management de ce projet.



Bibliographique référence


    1.  Parlement européen et du Conseil, Règlement (CE) no 1907/2006 du 18 décembre 2006 concernant l'enregistrement, l'évaluation et l'autorisation des substances chimiques, ainsi que les restrictions applicables à ces substances (REACH), Journal officiel de l’Union européenne, L136/3-L136/109, 29/05/200
    2. Parlement européen et du Conseil, Directive 2011/65/UE du 8 juin 2011 relative à la limitation de l’utilisation de certaines substances dangereuses dans les équipements électriques et  électroniques, Journal officiel de l’Union européenne, L174/88-L174/109, 01/07/2011
    3. ANSES, le contexte de l’émergence de la nouvelle réglementation REACH sur les produits chimiques, consulté 25/03/2013, http://www.afssa.fr/ET/PPN4454.htm
    4. Communauté européennes, 1995-2013, le matériel électrique et électronique renonce aux substances dangereuse, consulté 04/04/2013  http://www.notre-planete.info
    5. Premier Farnell, Guide pas à pas la règlementation REACH, version 6, Février 2009
    6. Premier Farnell, Guide législatif et Technique RoHs, Version 2, 2005
    7. Olivier Jammes, Le casse-tête des industriels L’Usine Nouvelle n°3195, 03/06/2010 http://www.usinenouvelle.com/article/le-casse-tete-des-industriels.N132921
    8. European chemicals agency, Comprendre REACH –identité des substances et les processus, http://echa.europa.eu/web/guest/regulations/reach/understanding-reach
    9. AIDA, la réglementation des activités à risques, Ministère de l’Ecologie du développement durable et de l’énergie,http://www.ineris.fr/aida/consultation_document/523#Article_26
    10. Actu-Environnement, La directive dire RoHS est entrée en vigueur, 28 juillet 2006, http://www.actu-environnement.com/ae/news/1863.php4
    11. Afnor, ISO 9004 Décembre 2009, Gestion des performances durables d’un organisme-Approche de management par la qualité, p 29,2009

      retour sommaire




Table des illustrations des figures
Figure 1  L’évaluation des outils législatifs sur REACH-LIU Chunmei
Figure 2   Schéma général du projet-LIU Chunmei
Figure 3  Planification Dynamique Stratégique du projet-LIU Chunmei
Figure 4  Planning du projet-LIU Chunmei
Figure 5  la méthode PDCA du projet - LIU Chunmei  
Figure 6 la méthode PDCA du projet - LIU Chunmei  
Figure 7  Processus de la demande client – LIU Chunmei  
Figure 8  Idée créative-une gamme de fabrication longue   
Figure 9  Le passage de produits double épaisseur  
Figure 10  Le processus de l’utilisation des produits chimiques 
Figure 11   Processus de recherche des produits utilisés  
Figure 12  Processus de recherche des quantités achetées de produits utilisés en 2012   
Figure 13  Processus d’achat des produits chimiques   
Figure 14  Traitement de l’entrée et la sortie de produit chimique par machine   
Figure 15  Processus de fabrication d’atelier ébauchage pour LP   
Figure 16  Processus de fabrication d’atelier finition pour LP   
Figure 17 Processus de fabrication d’atelier estampage pour DE   
Figure 18 possibilité de gamme de fabrication d’atelier estampage pour DE  
Figure 19  Processus de fonctions de ligne DE intégré les produits chimiques utilisés   
Figure 20  Processus de fabrication d’atelier de fraisage de grande vitesse   
Figure 21.  Schéma générale de gamme de fabrication au niveau de l’usine  
Figure 22  les gammes de fabrications de plus répété pour la famille Aluminium   
Figure 23  Gammes de fabrication le plus répété pour la famille Laiton 
Figure 24  Gammes de fabrication  le plus répété pour la famille Cuivre 
Figure 25  Gamme de fabrication le plus répété pour la famille Bronze   
Figure 26  Gamme de fabrication le plus répété pour DE  
Figure 27  Processus de calcul des concentrations pour Produits Laminés Plats 
  
Figure 28  Le schéma à calculer les concentrations des substances  
Figure 29  Surface de produit fini LP   
Figure 30  Surface à l’étape de machine   
Figure 31   Logigramme de surface passé totale par machine en 2012   
Figure 32  Surface totale par machine  
Figure 33  Logigramme de l’obtention de  la quantité de substance  consommée sur la bande   
Figure 34  Surface de produit fini pour produits double épaisseur   
Figure 35  Produits utilisés à l’étape d’atelier d’estampage   
Figure 36  Synthèse du principe de calcul
Figure 37  Résultats de Concentration Type par machine   
Figure 38  Concentration pour 2 Aluminium ayant la même gamme mais des épaisseurs différentes
 
Figure 39  Concentrations pour 2 laitons ayant la même gamme mais des épaisseurs différentes   
Figure 40 Concentration pour 2 bronzes ayant même gamme mais des épaisseurs différentes     
Figure 41  Concentration pour 2 cuivres ayant la même gamme mais des épaisseurs différentes  
Figure 42  Concentrations pour 1 cuivre profilé par fraisage
Figure 43  Concentrations pour 2 cuivres profilés par estampage ayant même gamme de fabrication mais des épaisseurs différentes  
Figure 44  Menu d’Outil Suivi     


retour sommaire

Table des illustrations des tableaux

Table 1 21 clients essentiels choisis par Pareto
  
Table 2  Paramètres importants pour le calcul   
Table 3 Machines et ses fonctions pour les produits laminés plats   
Table 4 Machines et ses fonctions pour les produits double épaisseur  
Table 5  Liste de produits chimiques utilisés pour Aluminium 
Table 6  Liste des produits chimiques utilisés pour les trois autres familles   
Table 7  Liste de produits chimiques utilisés pour DE   
Table 8  Formulaire à présenter les concentrations des substances sur le produit fini LP   
Table 9  Formulaire à présenter les concentrations des substances sur le produit fini DE   
Table 10  Table des matières de la synthèse livré au LISAM


 72

retour sommaire



ANNEXE 1  L’histoire de Griset

1760 : Antoine Griset crée un atelier de fonderie dans le quartier du Marais à Paris. Il s’agit là de la naissance de la Maison Griset  dont la vocation s’étendra ensuite au métier du laminage.

1825 : c’est dans ses nouveaux locaux du 11e arrondissement de Paris (Oberkampf) qu’est laminée la plaque de Platine dont sera tiré le mètre étalon.

1920 : Griset se dote de matériel de laminage de finition et d’un atelier de  fonderie de Cuivre et d’Aluminium. L’usine prend alors sa configuration actuelle. 

1977 : Le site de Villers-Saint-Paul (où s’effectue le stage) est inauguré. La situation géographique est idéale, en effet, Villers-Saint-Paul se situe proche de Paris et des grands axes autoroutiers (carte précise en Annexe 1).

1998 : le groupe DIEHL rachète Griset. Ce groupe à dimension internationale possède une division métal à laquelle est rattaché Griset. Le fait d’appartenir à ce grand groupe industriel offre de nouvelles opportunités de développement. 

2001 : Griset devient ISO 9001 .

2012 : Bavaria Industriekapital AG achète tous les actifs de Griset. 

Griset est une société dotée d’une histoire et ceci joue certainement un rôle positif face aux difficultés économiques qu’elle connaît en ce moment. Ce contexte économique instable peut expliquer la difficulté d’obtenir  les frais de développements que les études que j’ai menées nécessitent. Une fois les situations historiques et économiques présentées, il s’agit de présenter la place de Griset sur la scène industrielle avant de se recentrer sur ma place au sein de Griset.

retour sommaire


ANNEXE 2  Produits Griset et Interactions avec fournisseurs et clients

Le Cuivre est extrait de mines dont les plus célèbres se situent en Amérique du sud (Photo ci-contre). Les matériaux cuivreux sont mis sous forme de lingots soit par sous-traitant soit directement à la fonderie de Griset.

Griset produit des bandes de cuivre, bronze (cuivre+étain), laiton (cuivre+zinc), des bandes d’alliage cuivre-nickel et d’aluminium (voir processus de fabrication), livrées sous formes de rouleaux. Le profil des bandes varie suivant les clients, ceci sera détaillé par la suite.

                                                                             444


Griset occupe ensuite 20% des cuivreux utilisés en France, et est leader ex-caque en bandes applis électronique e dans le marché mondial. 

retour sommaire

    ANNEXE 3  Processus de fabrication

Griset fabrique des bandes métalliques de simple ou double épaisseur.  Le processus de fabrication est commun pour les deux types de bandes au début. Une fois la bande ayant atteint une épaisseur définie (bande mère), elle est soit considérée comme le produit fini, soit parachevée pour faire de la double épaisseur.

Processus complet de transformation des Produits Laminés Plats:


ATE


Fonderie : Griset possède 6 fours de fusion à induction, ceci pour couler principalement des lingots d’alliages de cuivre mais aussi des lingots d’aluminium (lorsque cette première étape n’est pas confiée aux sous-traitants).

Ensemble de laminoirs :
 Laminage : le métal arrive avec une certaine épaisseur, en passant entre les 2 cylindres, celui-ci va diminuer d’épaisseur.  

 Laminage à chaud : les lingots sont chauffés à 880°C, puis passés au laminoir pour que leur épaisseur passe de 215 à 13 millimètres. Les lingots font 6 à 8 passages sur le laminoir réversible, en moins de 8 minutes, cette opération est très spectaculaire et j’ai pu y assister à plusieurs reprises. 

 Laminage à froid : les lingots devenus bandes sont laminés ensuite à froid pour atteindre 3.8 mm d’épaisseur en 3 réductions successives.

Laminage Duo-Quarto : Ce laminoir réversible permet d’obtenir des épaisseurs de bande différentes suivant les exigences des clients, et permet également d’obtenir une très bonne qualité de surface.


HAHA  

Recuit : Les bandes sont mises sous forme de rouleaux. Ceux-ci sont regroupés par 3 ou 4 pour aller ensuite dans les fours de recuit. En effet les alliages de cuivre ou d’aluminium ont vu leurs propriétés physiques modifiées à cause des laminages, et cette opération permet de redonner toutes les propriétés, concernant la solidité ou la conductivité notamment, de ces alliages.
Cisaillage : les bandes sont cisaillées pour obtenir les largeurs souhaitées  en fonction des demandes des clients.
Conditionnement

Le processus s’arrête ici pour les bandes mères (une épaisseur) qui sont mises sous forme de bobine, conditionnées et prêtes à être vendues. Mais certaines de ces bandes vont être réutilisées pour pouvoir créer des bandes de double épaisseur (qui représentent environ 40% des ventes de l’entreprise).

Processus des bandes double épaisseur par estampage/laminage

LAMINAGE 

Processus des bandes double épaisseur par fraisage grande vitesse 

FAIR

Lignes de finition-les bandes de double-épaisseur vont subir les dernières étapes qui sont :

retour sommaire



 ANNEXE 4  Organisation chez Griset

ORGA

retour sommaire


ANNEXE 5  Organisation du Service Qualité

Recentrons-nous sur le service qualité, où j’effectue mon stage, et son organisation :

  98

Le système Qualité a été mis en place il y a 20 ans et a pour but de perfectionner le savoir faire de l’entreprise, garantissant des produits conformes aux exigences requises par les clients. Griset optimise son processus grâce aux divers outils mis en œuvre (PDCA, rapports 3D, 8D, méthode des 5Ws). 

Chacun des membres s’occupe des litiges clients et cela représente 50 à 90% de la charge de travail des employés. Les interactions avec l’atelier sont nombreuses et le service se situe dans un vaste bureau ce qui facilite intégration et communication.

retour sommaire






ANNEXE 6  Familles  de Produit

                                                                         FAMMILE


retour sommaire



 ANNEXE 7  Planning “REACH - RoHS- Chunmei LIU”

                                                                                                PLANNING

retour sommaire








   ANNEXE 8  Pareto choisi des 21 clients

 21CLIENT

Remarque : client 6, il a deux N° client ; c’est parce que dans SAP, tout les numéros se présentent cet entreprise ; client 16, il a de numéro client différente dans le SAP, c’est CL6975.

retour sommaire


ANNEXE 9  Base de Données en première version

Formulaire Produits Laminés Plats

                                                                                 BASRE

Formulaire Produits Doubles Epaisseurs

                                                                                               DASE2


retour sommaire




ANNEXE 10  Base de Données en deuxième  version

Formulaire Produits Laminés Plats

                                                                                        BASE4 

Formulaire Produits Doubles Epaisseurs

                                                                                        BASE3





ANNEXE 11  Base de Données en troisième  version

                                                                             GAMME

                                                                                                       GAMME2  


retour sommaire



  ANNEXE 12  Processus de création la gamme longue

Pour tâche c, le résultat :

GAMME3  

Pour tâche d, le résultat :

GAMME4  

Le tableau complet n’est pas visible, Idem par les 21 feuilles EXCEL.



ANNEXE 13  Suivi Consommation Machine

                                                                                            SUIVI

retour sommaire




ANNEXE 14  Tableaux d’enregistrement de Produits Utilisés

Produits Utilisés machine par machine pour Produits Laminés Plats

                                                                                      
                                                                                       PRODUI

Produits Utilisés machine par machine pour Produits Double Epaisseurs

PRODUIS 

 

retour sommaire

Liste des Produits Utilisés dans l’Usine


PROS 

retour sommaire