Master Qualité -
Communication publique des résultats d'un stage de fin
d'études |
|
Avertissement : Si vous arrivez directement sur cette page, sachez que ce travail est un rapport d'étudiants et doit être pris comme tel. Il peut donc comporter des imperfections ou des imprécisions que le lecteur doit admettre et donc supporter. Il a été réalisé pendant la période de formation et constitue avant-tout un travail de compilation bibliographique, d'initiation et d'analyse sur des thématiques associées aux concepts, méthodes, outils et expériences sur les démarches qualité dans les organisations. Nous ne faisons aucun usage commercial et la duplication est libre. Si, malgré nos précautions, vous avez des raisons de contester ce droit d'usage, merci de nous en faire part, nous nous efforcerons d'y apporter une réponse rapide. L'objectif de la présentation sur le Web est de permettre l'accès à l'information et d'augmenter ainsi les échanges professionnels. En cas d'usage du document, n'oubliez pas de le citer comme source bibliographique. Bonne lecture... |
|
Accompagnement d'un
laboratoire d'analyses médicales
dans la démarche
d'accréditation ISO 15189 |
||
Mohamed ZTAT |
||
Référence bibliographique à
rappeler pour tout usage : Accompagnement d'un laboratoire d'analyses médicales dans la démarche d'accréditation ISO 15189, Mohamed ZTAT, Université de Technologie de Compiègne, Master Qualité et Performance dans les Organisations (QPO), Mémoire d'Intelligence Méthodologique du stage professionnel de fin d'études, www.utc.fr/master-qualite, puis "Travaux", "Qualité-Management", réf n° 300, juin 214 |
||
|
||
|
||
Téléchargez le Poster sous format PDF |
Téléchargez
le Rapport sous format PDF |
|
Remerciements
C'est avec grand honneur que je dédie cette page avec gratitude et reconnaissance à tous ceux qui m'ont aidé, d'une manière ou d'une autre, dans la réalisation de cette mémoire.
Je tiens à remercier Mme Sonia GUIRAMAND, Mme Valérie FOURQUET, Mme Béatrice DORRA et Mme Juliette VEZIN pour m’avoir accueilli, pour leur supervision, leur disponibilité, leur patience et leurs encouragements, ainsi que la pertinence de leurs conseils tout au long du stage qu’elles trouvent ici ma respectueuse reconnaissance.
J'adresse mes sincères remerciements à Mr Aymeric JANIEC pour ses conseils précieux, son encadrement et son soutien. Je remercie également Mme SARRA AMARA KORBA qui m’a aidé en tant qu’ancienne du Master QPO. J’adresse également mes sincères remerciements au personnel du BIO4L ou ma nouvelle famille pour la bonne ambiance de travail et leurs motivations.
Je tiens également à remercier chacun des membres du jury qui ont accepté d'évaluer ce travail.
Enfin, il est de mon devoir et le plaisir de montrer ma gratitude à tous mes professeurs de l’UTC et spécialement mon tuteur de stage Mr Gilbert FARGES pour le savoir-faire qu’ils m’ont généreusement inculqué.
1. L’accréditation en ISO 15189
3. L’accompagnement des LBM dans la démarche de l’accréditation
3.1. Contexte et objectif du stage
1. Le système d’information et de gestion du LBM Kalilab
2. La gestion de stock et des fournisseurs
3.1. Présentation de la technique
3.2. Vérification bibliographique et définition des limites acceptables
3.3. Maitrise des risques – Méthode des 5M
3.4. Evaluation des performances de la méthode – expérimentations sur site
3.5. Mise en place de la validation des méthodes durant le stage
4. La gestion de la métrologie
5. Gestion des ressources humaines
6. Gestion de l’amélioration continue
3. Enseignement tiré et perspectives
Annexe 1 : Dossier de validation de l’examen RAI
Annexe2: Check list audit SMQ
La polyvalence est un critère primordial pour la réussite d’un ingénieur généraliste mais cela n’est pas du tout évident. Je suis un ingénieur en génie industriel, j’ai travaillé sur divers domaines : aéronautique, câblage, pharmaceutique, recherche et développement en gestion de flux. J’ai rejoint le Master Qualité et Performance dans les organisations de l’UTC pour enrichir mes connaissances dans le domaine de la qualité. La formation fournie a été extrêmement bénéfique et elle touche la qualité dans tous les secteurs et domaines.
La spécialisation dans un domaine permet de garantir une meilleure performance et une efficacité optimale. C’est pour cela que j’aie choisi d’exploiter le domaine de la qualité dans les laboratoires d’analyses médicales. En effet, la qualité dans les LBM est différente de celle dans l’industrie et l’exigence de la qualité en LBM est une notion récente. Durant des cours du Master, on a eu une idée sur la nouvelle loi qui concerne les laboratoires et qui les obligent d’être accrédités en ISO 15189 pour continuer à exercer ses activités. Cependant, cette formation théorique doit être complétée par une formation pratique pour assurer l’efficacité du qualiticien en accompagnant le laboratoire dans sa démarche d’accréditation.
Intéressé par le domaine de santé, j’ai choisi de réaliser un stage en LBM qui m’a particulièrement intéressé et j’ai décidé aujourd’hui de continuer dans cette voie de conseil et accompagnement des laboratoires des analyses médicales dans leurs démarches d’accréditation en ISO 15 189 et le maintien de l’accréditation une fois obtenue.
L’ordonnance d’application parue le 13 janvier 2010
(Ordonnance n°2010-49 relative à la biologie médicale), a
rendu obligatoire
l’accréditation des laboratoires d’analyse biomédicale sur
l’ensemble des activités qu’ils réalisent au plus tard le 1 er
Novembre 2016, On
peut citer l'article
L6221-1 qui indique :"Un
laboratoire
de biologie médicale ne peut réaliser d'examen de biologie
médicale sans accréditation. L'accréditation porte sur les
trois phases (...) de l'ensemble des examens de biologie
médicale réalisés par le laboratoire".
L'accréditation sera délivrée par le comité français
d’accréditation COFRAC, selon la Norme ISO 15189. Cette
norme évolue et la dernière version est apparue en 2012.
La majorité des LBM est organisée selon les exigences du Guide de Bonne exécution des Analyses (le GBEA) mais on trouve aussi des laboratoires qui ont déjà mis en place un système de management basé sur des modèles normatifs volontaires (ISO 9001, ISO 17025, Bio Qualité). L’effort à fournir pour obtenir l'accréditation ISO 15189 est important en temps et moyen financier. Pour autant, le projet est à la portée de toute équipe volontaire.
Tous les LBM qui souhaitent continuer à exercer leurs activités ont dû envoyer la preuve d'entrée dans la démarche d’accréditation en 2013. Tout LBM doit accréditer en ISO 15189 au moins 50 % des examens qu’il réalise avant 1 Novembre 2016, 80% en 2018 et la totalité des examens avant 2020.
Les éléments les plus sensibles à gérer par les LBM sont absolument les dossiers de validation des méthodes car ils demandent un engagement notable de la direction et des techniciens du LBM.
Les LBM ne sont pas lancés tous seuls dans cette démarche mais les fournisseurs de matériels fournissent un effort considérable pour garantir la validation de leurs méthodes. L’obligation de l’accréditation a généré des nouvelles fonctions au sein des LBM : Les ingénieurs qualiticiens, des biologistes et des techniciens référant de qualité.
L’accréditation d'après ISO/CEI 17000/17011 est définie comme étant la procédure selon laquelle un organisme tierce partie faisant autorité fournit une reconnaissance formelle de la compétence d'une personne ou d'un organisme à réaliser des activités spécifiées d'évaluation de la conformité.
ISO 15189 est une norme internationale publiée par l’ISO en 2012 qui spécifie les exigences de qualité et de compétence propres aux laboratoires de biologie médicale.
Avant la mise en place de la norme ISO 15 189, les LBM voulant volontairement établir une démarche d’accréditation ont dû passer par la norme ISO/CEN 17025. ISO 15189 est donc une norme dérivée du ISO/CEN 17025 qui est une version plus générale et concerne tous les laboratoires d'analyses et d'essais. Le système de management de la qualité des laboratoires accrédités 15189 est fondé sur la norme ISO 9001:2008.
Partout dans le monde, on observe un intérêt croissant des professionnels de laboratoire pour l'obtention de l’accréditation pour leurs services. Bien que certains puissent voir cela comme un avantage commercial, l'équivalent d'un "label de concepteur", le principal avantage de travailler à l'accréditation est de permettre une gestion plus efficace du laboratoire. En France, le COFRAC accrédite sur demande les laboratoires d'analyses de biologie médicale. Cette accréditation est une reconnaissance des compétences techniques. À partir de 2013, tout laboratoire, public ou privé, doit démontrer qu'il a entrepris une démarche d'accréditation et en 2016, tous les laboratoires public ou privé de France devront être accrédités ISO 15189 sur au moins 50 % des examens (80 % en 2018 et 100% en 2020). Par ailleurs, depuis 2011, un laboratoire de biologie médicale qui souhaiterait ouvrir ses portes ne pourra pas invoquer de délai et devra être accrédité à l'ouverture.
La version de décembre 2012 constitue une révision technique de la version précédente (2007). Elle est plus pragmatique et les exigences plus explicites. Elle est beaucoup plus simple et plus compréhensible que la précédente.
Elle intègre
également 2 concepts novateurs qui sont l'approche processus
(exigence importante de l'ISO 9001) et la gestion des
risques. Enfin, la gestion des systèmes d'information n'est
plus une annexe informative mais bien une exigence à
laquelle il faut dorénavant se conformer. La norme ISO 15189
version 2007 reste en vigueur jusqu'en novembre 2015,
au-delà de cette échéance, les laboratoires devront faire
évoluer leur système de management de la qualité.

Figure 1 : Un système de management de la qualité basé sur les processus pour les laboratoires médicaux [5]
Le modèle de la
figure 1 peut être décrit de deux façons différentes. Tout
d'abord, l'utilisateur a des exigences qui sont formulées en
consultation avec la direction du laboratoire (la demande)
et le laboratoire répond en effectuant le processus
pré-analytique, analytique et post-analytique et puis il
produit un rapport pour l'utilisateur. Selon que leurs
exigences ont été respectées ou non, les utilisateurs
peuvent être définis comme «satisfaits» ou «insatisfaits».
Le second point de vue est que la direction du laboratoire
crée un système de qualité (Organisation et système de
gestion de la qualité) et utilise les ressources, le
personnel, l'équipement, etc (gestion des ressources) pour
mener à bien les 3 processus pour satisfaire aux exigences
de l'utilisateur. Tous les aspects du système de qualité
sont évalués continuellement et les améliorations sont
convenablement apportées. Les activités d'évaluation et
d'amélioration continue comprennent, par exemple,
l'évaluation des besoins et des exigences, la vérification
interne des processus d'examen et l’évaluation de la
participation à des programmes d'évaluation externe de la
qualité.
L'ordonnance du 13 janvier 2010 contraint les 5 800 laboratoires français à être accrédités selon la norme de qualité ISO 15189. Un processus long et onéreux qui a été a généré d'un regroupement d’établissements. Plus de la moitié d'entre eux commencent à disparaître au profit de structures plus grandes, adossées à de vastes plates-formes d'analyse, gage de qualité et d'économies d'échelle.
Le groupement des LBM est la structure la plus adaptée par les LBM pour faire face aux changements et dépenses générés par l’obligation de l’accréditation en ISO 15189. Certains groupements ont choisi de réserver des sites aux prélèvements avec un seul plateau technique centralisé alors d’autres groupements ont partagés les techniques sur tous les sites tout en assurant le transport des échantillons entre sites et le prélèvement dans les différents sites (plateau technique éclaté).
La figure 2 présente l’environnement d’un groupement de LBM et les acteurs du domaine.
Figure 2 : L'environnement d'un LBM [5]
L’environnement interne du groupement de LBM est constitué par le personnel des sites. Le nombre de collaborateurs dépend de la taille de la structure mais on retrouve forcément des biologistes responsables, des techniciens, des infirmières et des secrétaires médicales. La direction peut déléguer certaines fonctions de comptabilité, de transport et de la qualité à d’autres structures (Comptables, boite de consulting, société de transport) mais on peut retrouver des groupements qui ont intégré ces fonctions dans leurs structures.
Le patient est évidemment un acteur principal dans le processus mais on retrouve également les prescripteurs qui apparaissent avant la phase pré-analytique et à la phase post-analytique. Les banques et les assurances et cabinet comptables interviennent dans la gestion financière des LBM et l’agence régionale de santé (Ministère de la santé) dans la procédure règlementaire. On retrouve également les mutuelles et la sécurité sociale qui paient les LBM. Le COFRAC a rejoint l’environnement des LBM étant donné qu’il constitue une étape obligatoire pour acquérir l’accréditation.
Les fournisseurs
et les sous-traitants sont les acteurs influant sur les
activités des LBM et leurs services constituent le flux
d’entrée et le support des activités des LBM.
Suite au besoin d’un accompagnement quotidien, la
direction du groupement a contacté l’UTC pour présenter une
offre de stage de fin d’étude aux étudiants du Master
Qualité. Le stage consiste à accompagner le groupement dans
la démarche d’accréditation et d’assurer l’harmonisation
entre les différents sites. De plus, le groupement a entamé
la validation des méthodes biologiques et donc la mission du
stagiaire sera de préparer les dossiers de validation, de
former le personnel sur la démarche qualité, de suivre les
non-conformités et interagir face aux exigences de la norme
ISO 15189.
Afin de mieux identifier et expliciter la problématique, j’ai établi une planification dynamique stratégique PDS du projet:

Figure 3 : PDS du projet [5]
La PDS a permis
d’identifier les objectifs du projet. Cependant, on ne peut
pas nier les risques qui menacent la réussite du projet.
Pour identifier les opportunités et les menaces présentes
dans l'environnement, j’ai mené une analyse SWOT :

Figure 4 : Analyse SWOT [5]
Il est bien clair que la mission est compliquée et la charge
de travail est intense mais ce qui encourage c’est la
réussite de plusieurs anciens du Master avec un profil
semblable dans leurs stages d’accompagnement des LBM dans la
démarche d’accréditation.
L’objectif du stage est d’accompagner les LBM dans les différentes phases du processus d’accréditation en ISO 15189. Nous exposons dans ce chapitre les différents outils et méthodes qualité qu’on a utilisés pour assurer l’amélioration des sous-processus.
Durant le stage, je suis intervenu dans les sous-processus qui apparaissent dans la norme ISO 15189. Dès le début du stage, j’ai identifié les sous-processus et j’ai identifié le besoin relatif :
· Au niveau de la gestion de stock : mise en place de la gestion de stock à travers de code à barre, définition des critères d’évaluation des fournisseurs.
· Au niveau de validation des méthodes : la constitution des dossiers de validation de méthode planifiés durant la période de stage.
· Au niveau de gestion la métrologie : l’identification des matériels critiques et la sélection des fournisseurs et prestataires métrologique.
· Au niveau de l’amélioration continue : le traitement des non-conformités et la mise en place des actions d’amélioration continue, suivi des indicateurs qualité
· Au niveau du management du personnel : la formation du personnel sur les notions de la qualité et la démarche d’accréditation, motivation le personnel pour agir efficacement dans la stratégie d’accréditation.
· Au niveau de l’informatique : l’exploitation des fonctionnalités du système d’information récemment acquis et la formation du personnel sur certaines fonctions.
· Au niveau d’audit : assurer des audits internes, former le personnel qui sera audité sur le concept et l’utilité de l’audit interne afin de garantir leur implication dans la démarche.
Le groupement a acquis un logiciel de gestion du laboratoire (SGL) nommé KaliSil complété par un logiciel de gestion de la qualité KaliLab de la société Netika.
KaliSil et KaliLab constituent un système complet de gestion de laboratoire simple, compréhensible et efficace. Ils interviennent dans des différents stade du processus.
Accueil et pré-analytique
• Gestion des patients, cartes vitales,…
• Admissions clinique, prescriptions connectées
• Préleveur identifié avec code à barres
• Colisage avec métrologie, délais de stabilisation
• Catalogues laboratoires spécialisés connectés
• Archivage et anonymisation
Technique
• Connexions pré-analytiques, concentrateurs, automates, sérothèques, ...
• Liaisons correspondants : Hprim’Net, Image, Clinique, ...
Gestion de stock
• Gestion des fournisseurs
• Gestion des produits
Validation et facturation
• Validation biologique multi-écrans avec intégration des données Qualité (lot réactif, maintenance, ...)
• Statistiques d’épidémiologie, suivi colisage, chiffre d’affaires
• Gestion de la facturation
Validation des méthodes
• Suivi de la validation des méthodes
L’importance du logiciel réside dans son intégration des besoins des LBM en termes de respect des exigences de la norme ISO 15189.
La familiarisation à l’utilisation du logiciel était la première étape à assurer dès le début de stage. Le groupement a exploité la partie SGL du logiciel mais le personnel n’a pas vraiment tout pris en main. KaliLab présente nombreuses fonctionnalités qui sont extrêmement utiles mais encore inexploitées.
La base
documentaire inclut des instructions d’utilisation du
logiciel mais il en manque plusieurs qui seront rédigées au
fur et à mesure.
La gestion de ce sous-processus a été assurée suivant un processus d’amélioration continue SPDC (Study, Plan, Do, Check). Le concept de cette méthode permet d’assurer le suivi et l’amélioration continue tout en suivant la veille normative et les exigences réglementaires. Un changement de méthode de travail doit tenir compte les contraintes temporaires et comportementales. Le groupement collabore avec quelques dizaines de fournisseurs. La relation avec chaque fournisseur est totalement spécifique compte tenu du type de contrat, du criticité du fournisseur, des produits commandés et de plusieurs autres facteurs.
Le principe de la méthode SPDC peut être résumé à travers le tableau ci-dessous :
S : Study |
Etudier les exigences de la norme et déterminer les modalités d’assurance de ces exigences. |
P : Plan |
Planifier la mise en place progressive des actions correctives étudiées |
D : Do |
Réaliser, mettre en œuvre ce qui a été planifié |
C : Check |
Contrôler et suivre ce qui a été mis en place |
S : La norme ISO 15189 impose des règlements bien précis sur la gestion de stock et la gestion de fournisseurs : Le laboratoire doit sélectionner et approuver les fournisseurs en fonction de leur capacité à fournir des services externes, matériels, réactifs et consommables conformément aux exigences du laboratoire. Il doit également surveiller la performance des fournisseurs pour garantir que les services ou matériels achetés répondent en permanence aux critères mentionnés.
Le laboratoire doit établir un système de gestion du stock des réactifs et consommables. Le système de gestion des stocks doit distinguer les réactifs et consommables non inspectés et non acceptables de ceux qui ont été acceptés pour utilisation.
Tout nouveau lot de fabrication ou une nouvelle expédition doit être vérifiée en termes de performance avant leur utilisation.
P : Le logiciel de gestion dd la qualité KaliLab présente un module de gestion de stock qui n’est pas encore exploité. Pour le rendre opérationnel, on s’est basé sur cette séquence schématisé par la méthode QQOQC
Qui |
Quoi |
Où |
Quand |
Comment |
Stagiaire |
Etablir la liste des fournisseurs et saisie informatique sur KaliLab |
- |
Fev 2014 |
Exploitation des bons de commandes |
Stagiaire + consultant |
Etablir critères d’évaluation des Fournisseurs |
- |
Fev 2014 |
Recherche et exploitation avis des parties prenantes |
Stagiaire |
Etablir et saisir tous les produits commandés |
KaliLab |
Mars 2014 |
Exploitation des bons de commandes et accompagnement techniciens |
Stagiaire + Fournisseurs |
Paramétrage du logiciel pour assurer une gestion de stock à travers le logiciel |
KaliLab |
Mars 2014 |
Contact des fournisseurs (suivi Netika) |
Stagiaire + Responsable stock |
Test et paramétrage des étiquettes code à barre |
KaliLab |
Avril 2014 |
Faire des essais sur des commandes à blanc |
Stagiaire + techniciens |
Mise en place de la gestion de stock à travers des codes à barre |
KaliLab / Stock |
Avril 2014 |
Formation du personnel sur la gestion du stock par codes à barre |
Techniciens |
Saisir des NQ générés par les fournisseurs |
KaliLab |
- |
Saisie de NQ sur KaliLab et lier avec la commande |
Responsable gestion de stock |
Traitement des NQ et évaluation des fournisseurs |
KaliLab |
Fin du mois et fin de l’année |
Traitement des NQ fin du mois et l’évaluation des fournisseurs en fin de l’année |
D : Cette étape consiste à assurer les actions planifiées tout en assurant un retro-planning.
Pour une meilleure organisation, la configuration a été faite fournisseur par fournisseur (collecte des informations, saisie des informations, saisie des informations relatives à chaque produit, Paramétrages du logiciel, formation du personnel)
C : Cette étape consiste à suivre les actions mises en place, le traitement des NQ constatés, et d’établir des plans d’action correctives.
Pour l’évaluation des fournisseurs, on a eu recours à des travaux de recherches pour déterminer les critères adéquats :
Les critères d’évaluation varient selon le type de fournisseur. Un coefficient de pondération est accordé à chaque critère :
Fournisseurs de réactifs et consommables |
Fournisseurs de services |
||
Critères d’évaluation |
Coefficient |
Critères d’évaluation |
Coefficient |
Prix Livraison Qualité des produits Système de la qualité SAV Formation et support technique |
2 2 2 1 1 1 |
Prix Système de la qualité Formation et support technique Conformité de la prestation de service |
2 1 1 2 |
La détermination des poids de critères a été assurée à travers
une étude d’avis des différentes parties prenantes.
Le formulaire d’évaluation est renseigné chaque année pour chaque fournisseur « critique » par le référent qualité du site ou le biologiste responsable du site. Une note entre 0 et 5 est attribuée pour chaque critère (0:Inacceptable (Trop de défaillances) 1:insatisfaisant (Des défaillances notables) 3:Acceptables (Pouvant encore s'améliorer) 5:Satisfaisant (Conforme aux attentes). Ces notes sont ensuite multipliées par le coefficient correspondant à chaque critère puis additionnées pour avoir un score.
Le biologiste responsable du site
valide chaque grille d’évaluation renseignée et indique sur la
grille en conclusion si le fournisseur est conservé ou si une
action est engagée envers le fournisseur.
La validation des méthodes est le processus cœur de l’accréditation. Pour simplifier la tâche, le COFRAC a mis à la disposition des LBM des documents SH REF (documents de références), des SH GTA (Guide technique d’accréditation) et des SH Form (Formulaires).
Ces documents présentent les exigences de la norme dans une formulation plus simple. La prise en compte des documents lors de la préparation à l’accréditation est primordiale.
La vérification des méthodes est un
processus d’amélioration continue qu’on schématise selon cette
figure :

Figure 5 :
Processus de validation d'une méthode [5]
En biologie, on distingue deux types de méthodes : Méthode quantitative (un résultat chiffré est rendu aux patients) et méthode qualitative (un commentaire positif ou négatif qui est rendu aux patients). Selon le type de la méthode, le LBM adopte sa méthodologie de travail.
Paramètres à vérifier et/ou à connaître |
Bibliographie |
Vérification sur site |
Spécificité analytique |
Oui |
Non |
Fidélité (répétabilité et fidélité intermédiaire) |
Oui |
Oui |
Justesse (approche de la) |
Oui |
Oui, dès que possible |
Intervalle de mesure Limite de détection, de quantification, linéarité |
Oui |
Si nécessaire pour les techniques avec une zone étendue de valeurs possibles |
Incertitudes / Facteurs de variabilité |
Oui |
Oui |
Contamination entre échantillons (s’il y a lieu) |
Oui |
Oui, pour les paramètres sensibles |
Stabilité des réactifs (après ouverture, embarqués) |
Oui |
Non |
Interférences (lipémie, hémoglobine plasmatique, bilirubine, médicaments) |
Oui |
Si besoin |
Intervalle de référence |
Oui |
Oui, dès que possible |
Comparaison avec une méthode de référence |
Oui |
Non |
Comparaison avec une méthode déjà utilisée au laboratoire |
Oui (si existe) |
Oui (si possible) |
Paramètres à vérifier et/ou à connaître |
Bibliographie |
Vérification sur site |
Spécificité analytique |
Oui |
Non |
Sensibilité diagnostique |
Oui |
Non |
Contamination entre échantillons (s’il y a lieu) |
Oui |
Oui |
Stabilité des réactifs |
Oui |
Non |
Robustesse |
Oui |
Non |
Comparaison avec méthode de référence Comparaison avec méthode déjà utilisée au laboratoire |
Oui Oui (si existe) |
Non Oui (si possible) |
Cette partie consiste à présenter le paramètre qui va être validé dans la première page du document SH-FORM-43 ou 44. Les informations utiles pour la présentation sont disponibles dans les documents du fournisseur, et en particulier, dans la notice technique sur réactif.
Il s’agit dans cette partie de récupérer toute les informations concernant les performances de la méthode, ces limites à partir des données fournisseurs et données scientifiques.
Les informations sont renseignées dans la partie « vérification bibliographique » du dossier de validation de méthode.
La définition des limites acceptables du laboratoire se fait par le biologiste responsable en s’appuyant sur les besoins propres du laboratoire au regard de la pertinence clinique attendue et sur les recommandations des sociétés savantes ou des pratiques de l’état de l’art, le biologiste définit les limites d’acceptabilité.
Deux sociétés savantes sont reconnues dans ce domaine qui sont SFBC et RICOS. On peut noter que ce n’est pas évident de retrouver des informations de ces sociétés pour tous les paramètres.
Dans cette partie, le laboratoire détermine les facteurs susceptibles de modifier sensiblement les résultats d’un examen. Ensuite, il évalue les risques et indique les moyens mis en place pour contrer toute erreur au cours de la réalisation de la méthode d’analyse.
Dans chaque
dossier de validation de méthode, chaque LBM doit mener une
étude des risques qui pourrait agir sur la qualité des
résultats de la méthode. L’onglet Maitrise des risques du
document SH Form est déjà structuré intuitivement sur la
méthode 5 M comme le montre la figure suivante.

Figure 6 : Onglet Maitrise des risques du SH Form [1]
Le LBM est libre de choisir la méthode par laquelle il détermine la maitrise des risques. Dans notre cas, on a suggéré et mené une réunion de Brainstorming qui a regroupée tous les techniciens du LBM et puis les propositions ont été raffinées pour arriver à une étude approfondie des risques. On a eu ensuite recours aux différents documents internes et externes qui permettaient de maitriser ces risques. C’était une occasion pour les techniciens pour se familiariser à l’utilisation des documents qualité et une justification de l’utilité de ces documents.
Cet essai permet d’atteindre la meilleure performance possible en termes de fidélité dans les conditions opératoires du laboratoire. Il est réalisé sur au moins deux niveaux avec si possible un proche de la zone décisionnelle (choisir 2 niveaux qui seront également utilisés pour l’évaluation de la justesse et le calcul des incertitudes de mesure) :
· Sauf argumentation pertinente (coût des analyses, durée, etc…), 30 mesures seront réalisées sur un même échantillon dans un intervalle de temps le plus court possible et dans des conditions identiques : même opérateur, même lot de réactifs, même instrument, même étalonnage.
· Évaluer la moyenne, l’écart-type de
répétabilité, Sr, et le CVr associé :
· Comparer les résultats obtenus aux limites d’acceptabilité définies par le laboratoire
Ce calcul est répété pour chacune des matrices (sérum, urine, LCR,…) soumises à analyse ou sur des échantillons de contrôle de qualité interne (CIQ).
Pour un même analyseur, ce calcul doit être effectué pour chaque analyte.
Cet essai consiste à effectuer l’analyse d’un même échantillon en faisant varier les conditions opératoires. Les résultats des CIQ seront exploités (2 niveaux au minimum). L’essai est réalisé au cours de séries successives, en général 1 à 2 par jour. Dans la mesure du possible et pour une meilleure représentativité, la fidélité intermédiaire sera établie sur au moins 15 jours et avec 30 déterminations (soit 60 valeurs).
· Les modalités de calcul sont identiques à ceux de la répétabilité :
· Comparer les résultats obtenus aux limites d’acceptabilité définies par le laboratoire (Fournisseur, SFBC, Ricos, etc…)
L’évaluation de la justesse (quantifiée par le Biais) nécessite la comparaison de la moyenne de plusieurs dosages d’un échantillon à une valeur cible. Le biais pourra donc être déterminé à l’aide des résultats de l’externalisation des CIQ. En cas d’absence d’externalisation des CIQ, l’inexactitude sera évaluée en exploitant les résultats d’EEQ.
· Calcul du biais à l’aide de l’externalisation
des CIQ (en %) :
· Calcul de l’inexactitude à l’aide d’un
résultat d’EEQ :
La valeur cible est la moyenne de l’ensemble des participants si les seuils de décision pour le paramètre concerné sont standardisés, sinon la valeur cible retenue sera la moyenne des résultats obtenus par le groupe de pairs.
L’évaluation de l’inexactitude est d’autant plus pertinente que le nombre d’échantillons d’EEQ est élevé.
· Comparer les résultats obtenus aux limites d’acceptabilité définies par le laboratoire (Fournisseur, Ricos, SFBC…)
Pour calculer l’incertitude de mesure, on se base sur les résultats des EEQ ou CIQ ou par combinaison des deux résultats tout en suivant les instructions inscrites dans le document SH GTA 14
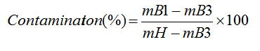
Cet essai permet d’évaluer la contamination inter échantillons sur un système automatisé. Il sera réalisé sur l’ensemble des paramètres sensibles à cette influence. Cette étude est à répéter en cas de doute sur le fonctionnement correct du système automatisé (en particulier le système de lavage et/ou de décontamination)
· Après rinçage de l’appareil, analyser successivement :
- Un échantillon élevé 3 fois : H1,H2, H3, moyenne H
- Un échantillon bas 3 fois : B1, B2, B3
- Répéter le cycle n fois (n = 5 par exemple)
· Comparer le résultat obtenu aux limites d’acceptabilité définies par le laboratoire (Fournisseur, limite de répétabilité,…)
Quelles limites acceptables ?
- ISO 5725-6 : pas de contamination significative si D ≤ 2,8 Sr niveau bas / √n
- Test t de Student : vérifier que D / S(D) ≤ t (que l’on peut trouver dans la table de Student)
·
· Le niveau de contamination doit être proche de zéro ou entraîner des règles de « repassage » argumentées. Il faut aussi comparer le résultat obtenu aux limites d’acceptabilité définies par le laboratoire (Fournisseur, limite de répétabilité,…)
L’évaluation de la contamination inter-réactif peut être nécessaire dans le cas d’analyseur où le système de distribution est commun à tous les réactifs.
Cet essai permet de vérifier la corrélation entre deux méthodes ou deux équipements sur un même paramètre. Il sera étudié pour les paramètres pour lesquels le laboratoire possède deux appareils en miroir ou un appareil de « back-up ». Il ne peut être réalisé qu’une fois la vérification des critères précédents sur chacune des deux méthodes effectuée (au minimum répétabilité, fidélité intermédiaire et justesse). Pour la faire, il faut :
· Sélectionner au moins 30 échantillons de patients couvrant de façon homogène l’étendue du domaine physio-pathologique avec les deux méthodes.
· Analyser ces échantillons, frais de préférence, en simple par les deux méthodes et dans un délai le plus court possible et relever les valeurs :
xi : valeurs méthode X yi : valeurs méthode Y
· Calculer les différences di = xi – yi et les quotients qi = yi/xi
· Tracer graphiquement di et qi en fonction de xi
· A l’aide des données bibliographiques et/ou fournisseurs, fixer des limites de discordance, les reporter sur les graphiques
· Les limites acceptables sur les di pourront être calculées par la formule suivante en fonction des écart-types de fidélité intermédiaire des deux méthodes :
· Identifier les échantillons discordants, rechercher les causes de discordance qui subsistent après vérification (aspect, fibrine, hémolyse, etc…).
En cas de différences significatives, le biologiste médical formalisera la conduite à tenir (adaptation des valeurs de référence, information des cliniciens prescripteurs, utilisation transitoire et documentée d’un facteur de correction, rejet de la méthode si ne correspond pas au cahier des charges du laboratoire).
Dès le début de stage, je me suis familiarisé avec les notions des vérifications de méthode, j’ai suivi le planning des validations des méthodes du groupement. Un rétro planning est créé pour chaque méthode et un suivi continu est assurée jusqu’à la clôture du dossier.
D’après la SH REF 2, le LBM doit procéder par l’identification de ses équipements critiques qui sont définis comme étant tous les équipements ayant une incidence significative sur l’exactitude et la fiabilité des résultats, employés dans le cadre de la surveillance des conditions de réalisation des examens. (Enceinte thermique, pipette, sonde de température, étuve, centrifugeuse)
Dans un second lieu, Le laboratoire assure le raccordement métrologique de son matériel « critique » pour les grandeurs jugées critiques pour la réalisation des examens cela veut dire que le LBM identifie les grandeurs mesurées correspondantes à ses équipements.
A la suite du raccordement métrologique, le laboratoire réalise la vérification métrologique afin de s’assurer que ses exigences sont respectées.
Ex: Réfrigérateur Þ Température
Pipette Þ Volume
Centrifugeuse ÞVitesse / température / temps
Le LBM doit identifier les exigences métrologiques associées tout en respectant les obligations normatives en métrologie qu’on retrouve dans la NF EN ISO 15189.
Ex: Pour le réfrigérateur la température moyenne demandée est de 5°C ±3°C (3°C de tolérance) ce qui fait qu’on doit assurer une température entre 2°C et 8°C dans les réfrigérateurs.
Un étalonnage est un « état des lieux » de l’instrument de mesure (pipette, chronomètre,…) donc c’est un ensemble des opérations établissant, dans des conditions spécifiées, la relation entre les valeurs de la grandeur indiquées et les valeurs correspondantes de la grandeur réalisées par des étalons (Cofrac, horloge parlante).
Qui peut faire la métrologie dans un LBM?
La
gestion de la métrologie doit être pilotée par le LBM mais
l’étalonnage et la cartographie sont sous-traités à un
prestataire externe accrédité ou à une unité dans le
laboratoire qui sera évaluée techniquement selon la norme NF EN ISO/CEI
17025 ou à une unité de métrologie dans l’entreprise, en
dehors du LBM, qui sera évalué
selon la norme NF EN ISO/CEI 17025.
Les ressources humaines est l’une des unités de base pour la réussite de toute structure. Le logiciel Kalilab permet d’assurer une bomme gestion des ressources humaines mais il n’est pas encore exploité. Des actions d’amélioration du processus sont lancées suite à un audit de gestion des ressources humaines qui visent à rentrer les formations et les qualifications du personnel du groupement.
Une des exigences de la norme c’est d’assurer la formation au personnel, pour le faire, la direction a mis en place un plan de formation externe et interne répondant aux besoins spécifique de chacun des biologistes responsables, techniciens et secrétaires. En tant que stagiaire qualiticien, j’ai animé des formations internes pour sensibiliser le personnel à la démarche d’accréditation et à des notions de qualité qui n’étaient pas forcément bien évidentes pour la majorité. D’autres formations sont également assurées pour présenter la gestion du stock par code à barre, la saisie et le traitement des NQ ainsi que la préparation pour les audits internes.
Les relations et la communication inter-laboratoire et inter-groupement sont une des clés de réussite. Suite à un diagnostic de la situation actuelle et en suivant les exigences de la norme ISO 15 189, j’ai mis en place des réunions qualité. Ces réunions mensuelles assez courtes permettent de faire une mise à jour des actions d’amélioration mises en place, une sensibilisation à la démarche qualité et son importance pour la réussite du LBM et la facilitation du processus d’accréditation. Les réunions évoluent d’une fois à une autre et leur contenu devient de plus en plus dense et intéressant.
La communication inter-groupement n’est pas suffisamment établie bien que le groupement date de 2012. Les gens travaillent plutôt en mode silo. Ceci n’est pas du tout un problème spécifique au LBM mais pratiquement omniprésent et présentent des problématiques. Dans l’entreprise en silos les managers passent 20% de leur temps à chercher des informations et la moitié des informations retournées n’a pas de valeur (étude Accenture sur 1000 managers).
Pour
faire face à cette problématique, j’ai remonté à la direction
une suggestion qui a été validée lors de la revue de la
direction et qui consiste à organiser une réunion festive
chaque année regroupant tout le personnel du LBM. Cette
réunion sera tenue par roulement dans les sites. Elle sera une
occasion pour se connaître, pour voir comment et où
travaillent les collègues, pour voir les machines qui assurent
les examens et discuter et partager des moments amicaux
ensemble. La suggestion a été très bien appréciée et on attend
les résultats. (Réunion fixée après la préparation de cette
mémoire)
Le logiciel KaliLab présente un module de gestion des NQ. Ces dernières peuvent être reliées à un dossier patient comme à une automate, à un personnel, à un fournisseur ou à un sous-traitant. A la fin de chaque mois, le responsable qualité de chaque site est sensé valider toutes les NQ. Lors du stage, on a commencé à traiter les NQ, à établir des statistiques selon les problématiques détectées et de lancer des plans d’actions.
Chaque plan d’action est saisi sur KaliLab comme action préventive ou action corrective. Un responsable est désigné et un suivi est assuré par le responsable qualité.
Lors de la revue de la direction, les plans d’actions sont évalués. Des indicateurs sont introduits dans le tableau de bord mensuel qui prend en compte les exigences de la norme (Délai de rendu de résultat,…)
Les suggestions d’amélioration sont également relevées lors des réunions qualité mises en place ou à travers des fiches de demandes d’évolutions mises à la disposition du personnel. Le personnel traite également les réclamations des patients et les enregistrent sur KaliLab.
Une enquête de satisfaction est planifiée pour la fin de l’année suivant les exigences de la norme.
Ayant suivant le module d’audit interne à l’UTC, je suis chargé d’assurer mon premier audit du système de management de la qualité. Après l’étude de la partie du plan d’audit, j’ai élaboré le plan d’audit où j’ai défini les critères et le champ.
J’ai
élaboré une check liste qui m’a apparue la plus pratique (voir
annexe). L’audit a été supervisé par un auditeur COFRAC qui
m’a donné l’habilitation à assurer des audits internes.
Pour évaluer les méthodes mises en place, j’ai eu recours à l’outil d’autodiagnostic développé lors du projet QPO 11 : Aider à la mise en place de l'ISO 15189 (Laboratoire d'Analyses Biologiques et Médicales). Les biologistes responsables des sites sont invités à répondre aux questions et une analyse du résultat de l’outil sont analysés afin de mettre en place un plan d’action à assurer.
Le choix de la mise en place de l’outil d’autodiagnostic à ce stage a été bien prévu d’avance. Au début du stage, le groupement était en phase de construction de la base documentaire et de passage sur un nouveau système d’information et les informations n’étaient pas forcément disponibles. J’ai donc décidé de faire une image de l’avancement à la fin du stage et détecter les sous-processus à prioriser par des actions d’amélioration.
L’outil présente plutôt les exigences de la norme dans la version 2007. Comme amélioration, un outil traitant la version 2012 sera mis en place.
Ci-dessus, un graphe radar qui permet d’évaluer la maitrise des sous-processus :

Figure 7 : Graphe radar sur l'évaluation de la démarche d'accréditation [14]
Comme on voit sur le graphe, la majorité des processus sont bien maitrisés sauf les processus d’achat et de mesures. Ceci est attendu. Pour le processus achat, la base documentaire vient d’être créée et elle n’est pas maitrisée par la totalité des sites. De plus, la gestion du stock par cade à barre a été récemment mise en place et le personnel n’a pas encore tout introduit dans la base du logiciel KaliLab.
D’autre part, la gestion de la métrologie n’est pas encore maitrisée. Les devis pour l’achat des nouvelles enceintes thermiques sont en cours de discussion et la maitrise totale du processus de la métrologie est échelonnée entre 2014 et 2015.
Grâce à cette identification de maitrise de processus, un plan d’action sera discuté et un rétro-planning va être mis en place pour prioriser l’avancement sur ces sous-processus.
Le degré de maturité des processus est satisfaisant. Il indique bien un avancement dans la démarche d’accréditation dans plusieurs sous-processus. Ceci n’empêche pas de continuer à améliorer et chercher la perfection.
Tout en suivant la démarche décrite dans le chapitre méthode, j’ai constitué 12 dossiers de validation de méthode dans le domaine de l’immunologie, hématologie, bactériologie. (Pour des raisons de confidentialité, ces dossiers ne sont pas remis avec le rapport)
Ces dossiers sont validés biologiquement et seront déposés au COFRAC en début 2015.
La sensibilisation du personnel à la démarche qualité est un outil clé dans la réussite d’un projet d’accréditation. La direction m’a offert l’occasion d’assurer plus formation au personnel (Techniciens et secrétaires) qui a permis d’allégir la notion d’accréditation chez un personnel expérimenté mais qui a toujours fonctionné avec une méthode bien définie. Le changement n’a pas été donc totalement évident et cela dépends de la personnalité de chacun. La réussite du projet consiste à faire rapprocher les différents comportements vers un seul but commun : l’accréditation de notre groupement.
On a mis en place une nouvelle habitude dans le groupement qui consiste à réunir le personnel sous un thème de la qualité. La réunion sert à comprendre les exigences de la norme et à proposer des axes d’amélioration. On accepte mieux une amélioration venue d’une réunion avec la participation de tous les concernés.
La leçon la plus importante à tirer du stage c’est l’importance de l’engagement de la direction. Cet engagement ne doit pas se limiter au niveau matériel mais impliquer l’ensemble du personnel dans la philosophie du changement et l’amélioration continue. Les directions des LBM ont travaillé depuis longtemps selon un rythme ben défini. La notion de qualité qui était une démarche volontaire est devenue une composante obligatoire pour les continuités des structures. Pour garantir la réussite, La direction doit bien définir les objectifs qu’elle va apporter l’accréditation pour convaincre toutes les parties prenantes du processus de l’importance du challenge.
L’aboutissement
du projet c’est mon embauche au sein de la structure pour
assurer l’accompagnement du groupement dans sa démarche
d’accréditation. Dans un deuxième lieu, je suis intéressé
d’introduire le Lean Management dans la gestion des
laboratoires.
A travers ce stage qui a eu pour mission d’accompagner la démarche d’accréditation en ISO 15189 d’un laboratoire multi-sites, j’ai pu consolider ma formation d’ingénieur généraliste. J’ai pu également mettre en pratique les notions théoriques acquises tout au long du mon parcours académique et particulièrement à travers du Master qualité.
Parti avec peu d’information sur le secteur des LBM, mon intégration a été facilitée dans ce domaine par le passage par la gestion du stock et du personnel qui sont plutôt des services communs à l’industrie. J’ai eu un soutien généreux des biologistes et de tout le personnel pour me familiariser aux notions et termes biologiques.
Grâce au stage, j’ai pu mettre en place un système de gestion de stock par code à barre qui est applicable sur tous secteurs. J’ai également élaboré un nombre important de dossiers de validations de méthode qui est une phase très importante dans le processus d’accréditation. Je me suis également intéressé au processus de la métrologie et j’ai négocié des contrats avec des prestataires de métrologie. J’ai rédigé plusieurs documents qui sont remis dans la base documentaire du groupement. J’ai assuré des audits internes pour différents services.
Le stage m’a donc permis de toucher plusieurs services et spécialités et c’est bien mon but dès le départ de ne pas perdre la notion de polyvalence. Au contraire, le poste de qualiticien dans un groupement de LBM nécessite bien un profil polyvalent et adaptable aux situations.
La mise en place de la norme ISO 15189 m’a également offert la possibilité et de maitriser la mise en place de toute norme iso dans toutes structures. La décomposition des exigences de la norme doit être un travail similaire pour chaque norme. Et la réussite de la mise en place dépend du mode et planning de gestion choisi.
Comme objectif, je souhaite intégrer les notions et la philosophie du Lean mangement dans le secteur des laboratoires. Je me vois apte à mettre en place ce concept : zéro retard, zéro temps perdu, zéro défaut, minimisation du temps de changement d’outil, réunion brèves mais utiles, gestion des risques, … Ce projet pourrait être un travail de recherche dans le domaine de la qualité dans les établissements de santé.
Mon
projet professionnel est bien clair maintenant suite à mon
embauche dans mon entreprise du stage en temps partiel
mais je serai également un responsable qualité dans un
autre établissement similaire et partenaire à notre
groupement. Je me trouve bien avec la casquette de consultant ou
responsable qualité en établissement de santé et je
souhaite continuer dans ce domaine.
[1] NF EN ISO 15189, Laboratoires d'analyses de biologie médicale - Exigences particulières concernant la qualité et la compétence, Association Française de Normalisation (AFNOR), Édition 2007, http://www.boutique.afnor.org
[2] Documents COFRAC : SH Référence, http://www.cofrac.fr/documentation/
[3] Documents COFRAC : SH Guide Technique d’Accréditation, http://www.cofrac.fr/documentation/
[4] Documents COFRAC : SH Formulaire, http://www.cofrac.fr/documentation/
[5] Accompagnement d'un laboratoire d'analyses médicales dans la démarche d'accréditation en ISO 15189, Mohamed ZTAT, Université de Technologie de Compiègne, Master Qualité et Performance dans les Organisations (QPO), Mémoire d'Intelligence Méthodologique du stage professionnel de fin d'études, www.utc.fr/master-qualite, puis "Travaux", "Qualité-Management", réf n° 300, juin 214
[5] Documents Formation sur l’accréditation en bactériologie, Entreprise BIOMERIEUX
[6] Documents Formation assurée par BioFormation
[7] J.M Reifenberg, E. Riout, A. Leroy , Métrologie dans un laboratoire de biologie médicale : enjeux et difficultés, Revue Francophone des laboratoires, Volume 2014, Issue 461, April 2014, Pages 69–76
[8] G. Malleta, A. Dugayb, M. Leroya, C. Graya, J.-P. Basuyaua, , P. Brunellea, Démarche d'accréditation Cofrac dans un laboratoire hospitalier polyvalent. Mise en place et gestion au quotidien, Immuno-analyse & Biologie Spécialisée, Volume 20, Issue 4, August 2005, Pages 239–244
[9] Dinha BOURAÏ, Mise en œuvre d'une démarche qualité avec une mise à niveau selon la norme ISO 15189 dans un laboratoire d'analyses de biologie médicale situé dans un pays économiquement et socio-culturellement différents des pays industrialisés: le Cambodge, MEMOIRE DE THESE INDUSTRIELLE, UTC 2010,
[10] Article journal le Figaro, http://www.lefigaro.fr/societes/2010/05/06/04015-20100506ARTFIG00818-les-laboratoires-d-analyses-medicales-tres-convoites.php, consulté le 27/03/2014
[11] COLLET J.P, Application des exigences techniques de la norme NF EN ISO 15189 au secteur de parasitologie directe du C.H.U. de Limoges, thèse pour le diplôme d’état de docteur en médecine, Université De Limoges Faculté De Médecine 2011
[12] Ordonnance n° 2010-49 du 13 janvier 2010 http://www.legifrance.gouv.fr/affichTexte.do;jsessionid=14000989CAC90807F0453FAA09340 DBD.tpdjo12v_3?cidTexte=JORFTEXT000021683301&categorieLien=id
[13] Dossier de validation Ortho, Vérification des méthodes d'analyses réalisées sur autovue INNOVA version 8.2 du 27/09/2013
[14] Aide
à la mise en place de la norme ISO I5189 dans les
laboratoires de biologie médicale
ADJE Sylvain, COUPE Serge, SEBAYANG Ahman, SYLL Ndeye, VEUX
Vincent, Université de Technologie de Compiègne, Master
Qualité et Performance dans les Organisations (QPO) et Mastère
spécialisé Normalisation, Qualité, Certification, Essai
(NQCE), Mémoire d'Intelligence Méthodologique du projet
d'intégration, www.utc.fr/master-qualite, puis "Travaux"
"Qualité-Management", réf n°251, janvier 2013
C’est un examen d'immuno-hématologie permettant de mettre en évidence et d'identifier la spécificité d'anticorps anti-érythrocytaires présents dans le sérum d'un malade pour prévenir un choc transfusionnel et ou chez une femme enceinte en vue de détecter une incompatibilité fœto-maternelle.
Cet examen consiste à faire réagir un sérum (ou un plasma) inconnu sur un certain nombre de globules rouges connus, c’est-à-dire dont les divers antigènes de groupe sanguin sont connus. Cet ensemble de globules rouges constitue un panel.
Le sérum inconnu mis en présence de ces hématies provoquera une agglutination (parfois une hémolyse) si un anticorps présent dans le sérum se fixe sur l'antigène correspondant présent sur l'hématie. Dans le cas contraire il n'y a pas d'agglutination.
Les premières réactions d'agglutination, en faisant réagir simplement un sérum sur des hématies non traitées, ont permis la découverte des groupes sanguins ABO. Cette technique simple ne permet de mettre en évidence que des anticorps dits agglutinants, en règle des IgM, anticorps naturels actifs à froid, à 4 °C ou à la température ambiante. C'est le cas des anticorps du système ABO, des anti-M, anti-N, anti-P1, et rarement ou exceptionnellement d'autres spécificités qui peuvent toutes se voir.
L’examen RAI est assuré au sein de la société à travers l’automate AutoVue Innova de ORTHO.
1. Chaque cassette se compose de 6 micro-colonnes contenant les réactifs ou diluants, déjà pré-distribués.
2. Les hématies à tester sont distribuées dans la chambre de réaction, au-dessus de la colonne.
3. Sous l’effet de la centrifugation, les hématies sont propulsées vers la couche de billes.
4. Les billes de verre agissent comme un filtre, piégeant vers le haut les hématies agglutinées et permettant aux hématies non agglutinée de traverser la couche de billes.
Ceci est un
extrait du dossier de validation SH Form 44 [1] de la
méthode RAI :

La validation de la méthode doit être réalisé conformément au document COFRAC SH-GTA-04. La méthode appliqué est classée en porté A car il s’agit bien d’une méthode du fournisseur Ortho. Cependant, le LBM n’applique pas parfaitement les recommandations du fournisseur en termes de délai d’utilisation des réactifs et cela suite à la demande du même fournisseur qui justifie que ces réactifs sont stables plus que les 3 jours recommandés. Cela nous a donc obligé de rajouter d’autres tests et a rendu la validation pratiquement en portée B.
Le fournisseur nous a fourni un guide de validation de méthode qu’on a suivi tout au long du processus. Le rôle du responsable qualité consiste au suivi du près de toutes les manipulations techniques ainsi que la mise à jour des données collectées et la préparation du document SH Form 44 à transmettre au COFRAC.
Dans chaque dossier de validation de méthode, chaque LBM doit mener une étude des risques qui pourrait agir sur la qualité des résultats de la méthode. L’onglet Maitrise des risques du document SH Form 44 est déjà structuré intuitivement sur la méthode 5 M comme le montre la figure suivante.
Le LBM est libre de choisir la méthode par laquelle on détermine la maitrise des risques. Dans notre cas, on a suggéré et mené une réunion de Brainstorming qui a regroupée tous les techniciens du LBM et puis les propositions ont été raffinées pour arriver à une étude approfondie des risques. On a eu ensuite recours aux différents documents internes et externes qui permettaient de maitriser ces risques. C’était une occasion pour les techniciens pour se familiariser à l’utilisation des documents qualité et une justification de leurs utilités.
Une nouvelle conception de la fiche de maitrise des risques a été menée et jugée plus signifiantes. Cette conception représente les risques selon les 3 phases du processus (Pré-Analytique, Analytique et Post-analytique). D’autre part, on choisit de faire apparaitre les 5M proprement dites (Main d’œuvre, Méthode, Milieu, Matières et Matériels).
Le tableau ci-dessus est
extrait du SH form 44 le dossier de validation de la méthode
de RAI
Les Contrôles de Qualité Internes sont analysés dix fois chacun au cours d'une même journée sur le même automate avec un même lot de chaque produit. (Fréquence recommandée par le fournisseur).
Le test de répétabilité est
assuré pour tester la qualité du système analytique et
donner une estimation de la dispersion entre des valeurs
expérimentales obtenues dans les mêmes conditions
analytiques.
Les mesures pratiques sont coïncidentes avec les valeurs théoriques et donc les résultats du test de répétabilité sont conformes.
La reproductibilité exprime la précision inter-laboratoire. Elle permet d’estimer la variabilité liée à l’environnement : personnel, température de fonctionnement, lots de réactifs, etc. En pratique, dans un même laboratoire, il sera réalisé une mesure par de multiples déterminations (30 mesures pour notre méthode) d'un même échantillon par des analystes dans des conditions environnementales variables, et sur des jours différents.
Les Contrôles de Qualité Internes (OrthoConfidence WB) sont analysés chaque jour pendant quatre semaines, ce qui correspond à la péremption respective de ces produits. Les opérateurs, les conditions environnementales et les lots des réactifs et cassettes peuvent varier.
Les tests ont été réalisés et les résultats sont conformes.
La limite de détection des anticorps est mesurée en technique RAI par la réalisation de gammes de dilutions d'une solution d'anti-D humain titrée.
Les Limite de détection RAI mesurée selon les documents fournisseur sont:
· seuil de la réglementation actuel: <20 ng/ml)
· seuil de la réglementation en projet: <10 ng/ml)
Suite aux tests réalisés, on est arrivé jusqu’à 1.95 ng/ml pour ne plus détecter le anticorps et donc on est largement loin des seuils de la réglementation actuel et en projet.
Les réactifs hématies son utilisées à températures ambiante dans l'analyseur et sont maintenues en suspension par des cycles réguliers de rotation du portoir de réactif. Pour une efficacité optimale, le fournisseur recommande une utilisation des réactifs hématies sur 3 périodes de 8 heures, espacées par des périodes de remise au réfrigérateur. Dans notre cas, on les utilise pour sur 7 périodes de 8 heures donc on est obligé de réaliser ce test dispensable en portée A pour justifier ce choix et démontrer la stabilité des réactifs.
Ce test comprend deux mesures de RAI par jour (au chargement et après 8 heures à température ambiante) sur un échantillon d’Anti-D titré initialement à 10ng/ml. La période où la positivité de la réaction sera retrouvée validera l’utilisation du réactif dans les conditions du laboratoire.
Le chargement des réactifs à bord est effectué vers 08H00 du matin, et la remise des réactifs au réfrigérateur est effectuée vers 18H00, pour une consommation de un coffret tous les 7 jours.
Le test de stabilité est réalisé sur une période de temps double de la durée d'utilisation maximale d'un coffret de réactifs, soit 14 jours.
Le test de stabilité a été réalisé avec succès durant 14 jours et donc ce choix est bien justifié.
Les résultats sont
conformes.
Annexe 2 : Check list Audit SMQ |
|||
Références |
Exigences |
Ce qu'il faut chercher? |
|
Critères d'audit |
Thèmes, Sujet |
Quelles sont les preuves sont obligatoires |
|
4.1 Organisation |
Conduite éthique |
Quelles mesures avez-vous prises pour garantir la confidentialité des informations? |
|
4.1 Organisation |
Directeur du labo |
Comment vous enregistrez les devoirs et les responsabilités du directeur du labo? (Fiche fonction) |
|
4.1 Organisation |
Directeur du labo |
Avez-vous mis en place un plan de continuité d'activités à appliquer en cas d'urgence ou en cas où les activités du LABM sont limités ou indisponibles? |
|
4.1 Organisation |
Délégation des responsabilités |
Est-ce que vous déléguez des responsabilités ? Sur quelle base vous vous êtes basés pour déléguer ces responsabilités? |
|
4.1 Organisation |
Responsabilités et autorités |
Avez-vous défini les responsabilités et les autorités, les documentés et les communiquer? (Organigramme) |
|
4.1 Organisation |
Responsabilités et autorités |
Avez-vous nommé des responsables adjoints pour les fonctions clés? |
|
4.1 Organisation |
Engagement de la direction |
Comment vous
montrez votre engagement pour la mise en œuvre d'un
système de management de la qualité? Quels sont les
moyens ou les outils? |
|
4.1 Organisation |
Politique qualité |
Quelle est votre politique qualité? |
|
4.1 Organisation |
Objectifs qualité |
Quels sont vos objectifs qualité? Comment vous avez planifié votre SMQ? |
|
4.1 Organisation |
Tableau de bord |
Tableau de bord ?
Cohérent avec Politique Qualité ? |
|
4.1 Organisation |
Indicateurs |
* Modalités gestion des indicateurs ? Définies et appliquées ? Dernière revue indicateurs ? |
|
4.1 Organisation |
Indicateurs |
|
|
4.1 Organisation |
Communication inter-labo |
Comment vous
transmettez les informations au personnel? |
|
4.2 SMQ |
SMQ |
Le système de management de la qualité assure-t-il l’intégration de tous les processus nécessaires pour répondre à sa politique, à son objective qualité, ainsi qu’aux besoins et exigences des utilisateurs ? (V 2012) |
|
4.3 Maitrise des documents |
Documentation |
Vérifier les
documents: Politique qualité |
|
4.3 Maitrise des documents |
Manuel qualité |
Avez-vous informé sur l'utilisation et l'application du manuel qualité et des procédures? |
|
4.3 Maitrise des documents |
Documentation |
Avez-vous une procédure indiquant la modalité de gestion de la documentation? |
|
4.3 Maitrise des documents |
Documentation |
Est -ce que les éditions autorisées actuelles et leur diffusion sont identifiées au moyen d’une liste? |
|
4.3 Maitrise des documents |
Documentation |
La revue de la documentation est-elle assurée suivant une fréquence définis? |
|
Documentation |
modification apporté sur documents |
||
4.8Traitement des réclamations |
Retour du personnel |
Les modalités de gestion des réclamations sont-elles définies, adaptées et correctement appliquées ? |
|
4.8Traitement des réclamations |
Retour du personnel |
Les modalités de gestion des retours du personnel sont-elles définies, adaptées et correctement appliquées ? (V 2012) |
|
4.8Traitement des réclamations |
Retour du personnel |
Procédure de gestion des réclamations (test de traça : réclamations enregistrées sur derniers mois, analyse, action engagée, retours d’information au sens large ?) |
|
4.8Traitement des réclamations |
Retour du personnel |
Modalités correctes Application correcte ? |
|
4.8Traitement des réclamations |
Retour du personnel |
Modalités de gestion des retours du personnel ? Application et traça correcte ? |
|
4.12 Amélioration continue |
NQ |
Comment vous étudiez les causes d'une NQ potentielles? |
|
4.12 Amélioration continue |
NQ |
Les modalités de gestion des non-conformités sont-elles définies, adaptées et correctement appliquées ? |
|
4.12 Amélioration continue |
NQ |
Procédure de gestion des non-conformités (test de traça : NC enregistrées, analyse, action engagée) - Modalités correctes ? Application correcte ? |
|
4.12 Amélioration continue |
NQ |
NC en technique : responsable pour autoriser reprise, rappel de patient, si CR erroné trace diffusion aux destinataires et preuve de l’information des mesures à prendre « destruction ou restitution ». |
|
4.12 Amélioration continue |
NQ |
|
|
4.12 Amélioration continue |
Actions préventives |
Avez-vous mis en place des actions préventives? Exemples |
|
4.12 Amélioration continue |
Amélioration continue |
Des dispositions
existent-elles pour l’amélioration continue (actions
correctives, préventives et autres actions
d’amélioration, indicateurs qualité) ? Sont-elles
efficaces ? |
|
4.13 Maitrise des enregistrements |
Enregistrement |
Comment vous gérez vos enregistrements? Exemples |
|
4.14 Evaluation des audits |
Audit |
Audit interne menés? Suivi assuré? |
|
4.14 Evaluation des audits |
Audit |
Quelles sont les
grandes lignes du dispositif d’audit interne
(internalisation/externalisation de l’audit,
planification, contenu, exploitation) ? |
|
4.14 Evaluation des audits |
Audit |
Procédure d’audit interne (qualification auditeurs internes, qualification des externes, contrat avec auditeurs externes, accompagnés lors des audits internes) |
|
4.14 Evaluation des audits |
Audit |
Derniers comptes rendus d’audits – test de traça – suivi des écarts (recherche de causes) |
|
4.14 Evaluation des audits |
Programme d'audit |
Programme d’audit en cours - Couvre toutes les activités chaque année ? – Mention des référentiels SH REF02, 04, 08, GEN REF 11 |
|
4.14 Evaluation des audits |
Gestion des risques |
Quelles sont les grandes lignes du dispositif de gestion des risques ? (V2012) |
|
4.15 Revue de direction |
Enquête de satisfaction |
Procédure enquête
de satisfaction ? CR Dernières enquêtes réalisées ?
(analyse faite, actions engagées) |
|
4.15 Revue de direction |
Revue de direction |
Des revues de direction sont-elles périodiquement menées ? Permettent-elles de conclure sur l’adéquation et l’efficacité du système ? Les objectifs et plans d’action y sont-ils définis/revus ? Sont-ils communiqués au personnel ? |
|
4.15 Revue de direction |
Revue de direction |
|
|
4.15 Revue de direction |
Réunion qualité |
Autres types de réunions qualité mises en œuvre par le LBM ? |
|